
Which of the following amines can be prepared by Gabriel phthalimide reaction?
A. neopentylamine
B. n-butylamine
C. triethylamine
D. t-butylamine
Answer
562.2k+ views
Hint: The phthalimide gives nucleophilic substitution with an alkyl halide to form primary amines. We will find the primary amine. The primary amine will have nitrogen attached with only one carbon and two hydrogens. The amine should not be hindered because hindered amine are not formed by Gabriel’s Phthalimide synthesis.
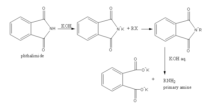
Complete Step by step answer: Gabriel’s Phthalimide synthesis is used for the conversion of primary alkyl halide into a primary amine.
In Gabriel phthalimide synthesis, a base abstract proton from phthalimide gives a nucleophile phthalimide ion which attacks on the unhindered primary alkyl halide. The base hydrolysis of alkylated phthalimide gives the primary unhindered amine and phthalimide ion.
Phthalimide ion itself is a bulky ion, so it prefers attack on hindered alkyl halide.
A general reaction is as follows:
We will draw the structures of all amine and find the primary unhindered amine as follows:
The triethylamine is not primary amine so it will not be prepared by Gabriel’s Phthalimide synthesis. Neo-pentylamine, n-butylamine, and t-butylamine are primary but neopentylamine, and t-butylamine are hindered amines, so only n-butylamine can be prepared by Gabriel’s Phthalimide synthesis.
Therefore option (B) n-butylamine, is correct.
Note: Gabriel’s Phthalimide synthesis is not used for the preparation of secondary, tertiary aliphatic amines due to steric hindrance. This method is also not used for the preparation of aromatic amines. Gabriel phthalimide synthesis nucleophilic substitution reaction. The general reaction shown by aromatic halide is the electrophilic substitution reaction. Because aromatic halide shows resonance due to resonance they are stable. The nucleophilic substitution destabilizes the resonance of the aromatic compounds.
Complete Step by step answer: Gabriel’s Phthalimide synthesis is used for the conversion of primary alkyl halide into a primary amine.
In Gabriel phthalimide synthesis, a base abstract proton from phthalimide gives a nucleophile phthalimide ion which attacks on the unhindered primary alkyl halide. The base hydrolysis of alkylated phthalimide gives the primary unhindered amine and phthalimide ion.
Phthalimide ion itself is a bulky ion, so it prefers attack on hindered alkyl halide.
A general reaction is as follows:
We will draw the structures of all amine and find the primary unhindered amine as follows:
The triethylamine is not primary amine so it will not be prepared by Gabriel’s Phthalimide synthesis. Neo-pentylamine, n-butylamine, and t-butylamine are primary but neopentylamine, and t-butylamine are hindered amines, so only n-butylamine can be prepared by Gabriel’s Phthalimide synthesis.
Therefore option (B) n-butylamine, is correct.
Note: Gabriel’s Phthalimide synthesis is not used for the preparation of secondary, tertiary aliphatic amines due to steric hindrance. This method is also not used for the preparation of aromatic amines. Gabriel phthalimide synthesis nucleophilic substitution reaction. The general reaction shown by aromatic halide is the electrophilic substitution reaction. Because aromatic halide shows resonance due to resonance they are stable. The nucleophilic substitution destabilizes the resonance of the aromatic compounds.
Recently Updated Pages
Why are manures considered better than fertilizers class 11 biology CBSE

Find the coordinates of the midpoint of the line segment class 11 maths CBSE

Distinguish between static friction limiting friction class 11 physics CBSE

The Chairman of the constituent Assembly was A Jawaharlal class 11 social science CBSE

The first National Commission on Labour NCL submitted class 11 social science CBSE

Number of all subshell of n + l 7 is A 4 B 5 C 6 D class 11 chemistry CBSE

Trending doubts
Differentiate between an exothermic and an endothermic class 11 chemistry CBSE

10 examples of friction in our daily life

One Metric ton is equal to kg A 10000 B 1000 C 100 class 11 physics CBSE

Difference Between Prokaryotic Cells and Eukaryotic Cells

1 Quintal is equal to a 110 kg b 10 kg c 100kg d 1000 class 11 physics CBSE

State the laws of reflection of light

