
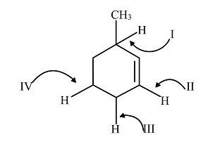
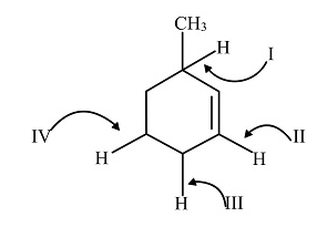
Which C-H bond has minimum bond dissociation energy for homolysis
A. IV
B. III
C. II
D. I
Answer
561.9k+ views
Hint: The bond dissociation energy is defined as the amount of energy required to break the chemical bond formed between the two atoms in a chemical compound. The compound which forms a stable intermediate will be strong and high energy will be required to break the bond.
Complete step by step answer:
The covalent bond present between the two atoms is broken by two ways. It can be done either by heterolytic cleavage or by homolytic cleavage.
In homolytic cleavage, the product formed are radicals and the energy required for breaking the covalent bond is known as bond dissociation energy.
The homolytic bond dissociation energy is defined as the amount of energy required to break one mole of gases which are covalently bonded into radical pairs. The SI unit of bond dissociation energy is kJ/mol.
In the given compound, there are four hydrogen atoms bonded to carbon atoms by a covalent bond. But the C-H bond present at first position forms a stable intermediate by resonance formed by the radical due to the presence of methyl group which shows positive inductive effect, the double bond and the hyperconjugation due to five hydrogen atoms present in the ring.
Therefore, the C-H bond at (I) position requires minimum bond-dissociation energy to break the bond.
So, the correct answer is Option A.
Note: On comparing the primary C-H bond, secondary C-H Bond and tertiary C-H bond, the tertiary C-H bond requires less bond dissociation energy.
Complete step by step answer:
The covalent bond present between the two atoms is broken by two ways. It can be done either by heterolytic cleavage or by homolytic cleavage.
In homolytic cleavage, the product formed are radicals and the energy required for breaking the covalent bond is known as bond dissociation energy.
The homolytic bond dissociation energy is defined as the amount of energy required to break one mole of gases which are covalently bonded into radical pairs. The SI unit of bond dissociation energy is kJ/mol.
In the given compound, there are four hydrogen atoms bonded to carbon atoms by a covalent bond. But the C-H bond present at first position forms a stable intermediate by resonance formed by the radical due to the presence of methyl group which shows positive inductive effect, the double bond and the hyperconjugation due to five hydrogen atoms present in the ring.
Therefore, the C-H bond at (I) position requires minimum bond-dissociation energy to break the bond.
So, the correct answer is Option A.
Note: On comparing the primary C-H bond, secondary C-H Bond and tertiary C-H bond, the tertiary C-H bond requires less bond dissociation energy.
Recently Updated Pages
Why are manures considered better than fertilizers class 11 biology CBSE

Find the coordinates of the midpoint of the line segment class 11 maths CBSE

Distinguish between static friction limiting friction class 11 physics CBSE

The Chairman of the constituent Assembly was A Jawaharlal class 11 social science CBSE

The first National Commission on Labour NCL submitted class 11 social science CBSE

Number of all subshell of n + l 7 is A 4 B 5 C 6 D class 11 chemistry CBSE

Trending doubts
Differentiate between an exothermic and an endothermic class 11 chemistry CBSE

10 examples of friction in our daily life

One Metric ton is equal to kg A 10000 B 1000 C 100 class 11 physics CBSE

Difference Between Prokaryotic Cells and Eukaryotic Cells

1 Quintal is equal to a 110 kg b 10 kg c 100kg d 1000 class 11 physics CBSE

State the laws of reflection of light

