
The number of chiral carbon atom present in open chain and cyclic form glucose is:
A)3,2
B)4,5
C)5,5
D)6,5
Answer
578.1k+ views
Hint: A chiral carbon atom has four different types of atoms attached to it. In a molecule for each chiral carbon, there exists two optical isomers.
Complete step by step answer:
We can draw the open chain form of glucose as follows,
In this structure, we can see that there are four chiral centres C-2, C-3, C-4, and C-5. These four carbons have four different groups attached to it. Hence, they are considered as chiral carbon. The open-chain isomer D-glucose has four isomers: $\alpha$-D-glucopyranose, $\beta$-D-glucofuranose, $\beta$-D-glucopyranose and $\alpha$-D-glucofuranose. These five isomers exist in equilibrium and they can interconvert. The interconversion of the isomers becomes more rapid on acid catalysis.
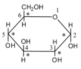
We can draw the close chain form of glucose as follows,
In this structure, we can see that there are five chiral centres C-2, C-3, C-4, C-5 and C-6 marked by stars. These five carbons have four different groups attached to it. Hence, they are considered as chiral carbon.
So, out of the given four options, B is the correct option.
Note: Students may get confused while determining the number of chiral carbons in the open chain and cyclic form of glucose. The open chain contains four chiral carbons and the cyclic form of glucose contains five chiral carbons. To identify a chiral carbon, we must see the groups attached to it. If all the four groups attached to the carbon atom are different, then we can identify that carbon atom as a chiral carbon.
Complete step by step answer:
We can draw the open chain form of glucose as follows,
In this structure, we can see that there are four chiral centres C-2, C-3, C-4, and C-5. These four carbons have four different groups attached to it. Hence, they are considered as chiral carbon. The open-chain isomer D-glucose has four isomers: $\alpha$-D-glucopyranose, $\beta$-D-glucofuranose, $\beta$-D-glucopyranose and $\alpha$-D-glucofuranose. These five isomers exist in equilibrium and they can interconvert. The interconversion of the isomers becomes more rapid on acid catalysis.
We can draw the close chain form of glucose as follows,
In this structure, we can see that there are five chiral centres C-2, C-3, C-4, C-5 and C-6 marked by stars. These five carbons have four different groups attached to it. Hence, they are considered as chiral carbon.
So, out of the given four options, B is the correct option.
Note: Students may get confused while determining the number of chiral carbons in the open chain and cyclic form of glucose. The open chain contains four chiral carbons and the cyclic form of glucose contains five chiral carbons. To identify a chiral carbon, we must see the groups attached to it. If all the four groups attached to the carbon atom are different, then we can identify that carbon atom as a chiral carbon.
Recently Updated Pages
A man running at a speed 5 ms is viewed in the side class 12 physics CBSE

The number of solutions in x in 02pi for which sqrt class 12 maths CBSE

State and explain Hardy Weinbergs Principle class 12 biology CBSE

Write any two methods of preparation of phenol Give class 12 chemistry CBSE

Which of the following statements is wrong a Amnion class 12 biology CBSE

Differentiate between action potential and resting class 12 biology CBSE

Trending doubts
What are the major means of transport Explain each class 12 social science CBSE

Which are the Top 10 Largest Countries of the World?

Draw a labelled sketch of the human eye class 12 physics CBSE

How much time does it take to bleed after eating p class 12 biology CBSE

Explain sex determination in humans with line diag class 12 biology CBSE

Explain sex determination in humans with the help of class 12 biology CBSE

