
The major product of the following reaction sequence is:
A.
B.
C.
D.
Answer
566.7k+ views
Hint:When two molecules of aldehyde and ketones having $\alpha $-hydrogen condense together in presence of NaOH to form $\beta $-hydroxy aldehyde or $\beta $-hydroxy ketone respectively which are collectively called as aldol. This reaction is called aldol condensation.
Complete step by step solution:
We have to compound where one is a ketone group attached to an aryl group and to an isopropyl group.
(i) In first reaction it is treated with formaldehyde in (excess) NaOH, heat
The formaldehyde attacks the $\alpha $part of the ketone group. Then we get
We can write it in more clean way after protonation
Now we have a carbonyl compound with no $\alpha $-hydrogen. Now this could be a cross aldol condensation. If this is heated with formaldehyde. If we remember cross disproportionation of formaldehyde, it typically gets oxidised to $HCO{O^ - }$and the carbonyl compound reduces.
Hence the ketone group reduces to alcohol.
Now this is the consequence of the first reaction. We have completed only the first reaction. We should note that $O{H^ - }$ is doing double duty first because it is a quick reaction and once aldol is not possible and we keep heating we get a disproportionation product also.
(ii) Now we are adding more formaldehyde in acidic medium (catalytic amount). Now the product we got from the first reaction with formaldehyde we can clearly see a formation of acetal.
In formaldehyde the $C{H_2}{O^ - }$will combine the two hydrogens from alcohol group and release it as water forming the acetal hence we get acetal
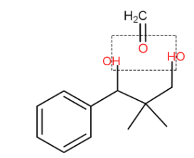
Therefore, option (A) is the correct option.
Note:
We can also check the options to find it more conveniently. We may get mistaken for choosing (b) or (c). (b) and (c) are hemiacetals. Hemiacetal means a single carbon attached to -OH group as well as -OR group is known as a hemiacetal group. Also hemiacetals are typically unstable and get decomposed. Also (d) cannot form since the aryl group never gets involved in the reaction, only the functional group is affected.
Complete step by step solution:
We have to compound where one is a ketone group attached to an aryl group and to an isopropyl group.
(i) In first reaction it is treated with formaldehyde in (excess) NaOH, heat
The formaldehyde attacks the $\alpha $part of the ketone group. Then we get
We can write it in more clean way after protonation
Now we have a carbonyl compound with no $\alpha $-hydrogen. Now this could be a cross aldol condensation. If this is heated with formaldehyde. If we remember cross disproportionation of formaldehyde, it typically gets oxidised to $HCO{O^ - }$and the carbonyl compound reduces.
Hence the ketone group reduces to alcohol.
Now this is the consequence of the first reaction. We have completed only the first reaction. We should note that $O{H^ - }$ is doing double duty first because it is a quick reaction and once aldol is not possible and we keep heating we get a disproportionation product also.
(ii) Now we are adding more formaldehyde in acidic medium (catalytic amount). Now the product we got from the first reaction with formaldehyde we can clearly see a formation of acetal.
In formaldehyde the $C{H_2}{O^ - }$will combine the two hydrogens from alcohol group and release it as water forming the acetal hence we get acetal
Therefore, option (A) is the correct option.
Note:
We can also check the options to find it more conveniently. We may get mistaken for choosing (b) or (c). (b) and (c) are hemiacetals. Hemiacetal means a single carbon attached to -OH group as well as -OR group is known as a hemiacetal group. Also hemiacetals are typically unstable and get decomposed. Also (d) cannot form since the aryl group never gets involved in the reaction, only the functional group is affected.
Recently Updated Pages
The number of solutions in x in 02pi for which sqrt class 12 maths CBSE

Write any two methods of preparation of phenol Give class 12 chemistry CBSE

Differentiate between action potential and resting class 12 biology CBSE

Two plane mirrors arranged at right angles to each class 12 physics CBSE

Which of the following molecules is are chiral A I class 12 chemistry CBSE

Name different types of neurons and give one function class 12 biology CBSE

Trending doubts
Which are the Top 10 Largest Countries of the World?

What are the major means of transport Explain each class 12 social science CBSE

Draw a labelled sketch of the human eye class 12 physics CBSE

Differentiate between insitu conservation and exsitu class 12 biology CBSE

The computer jargonwwww stands for Aworld wide web class 12 physics CBSE

State the principle of an ac generator and explain class 12 physics CBSE

