
The hydrides of the first element in the group 15-17, namely \[N{H_3},{\text{ }}{H_2}O\] and \[HF,\] respectively show abnormally high values for melting and boiling points. This is due to:
A.Small size of N, O , and F
B.The ability to form extensive intermolecular H- bonding
C.The ability to form extensive intramolecular H- bonding
D.Effective van der Waals interaction
Answer
581.7k+ views
Hint: Hydrogen bonding interaction involves a hydrogen atom located between a pair of other atoms having a high affinity for electrons.
Complete step by step answer:
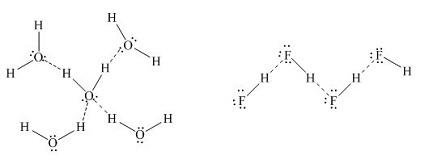
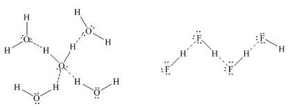
-The above reason is due to the ability to form extensive intermolecular H-bonding.
-This is because of the small size and high electronegativity of elements, have the ability to form extensive intermolecular (i.e. between two molecules) hydrogen bonding
-Thus, a large amount of energy is required to break these bonds i.e. the melting and boiling points of hydrides of these elements are abnormally high.
-The interaction between molecules is much stronger when there are intermolecular hydrogen bonds because the bonds are formed between molecules.
-Further, the strength of hydrogen bond depends upon the coulombic interactions between the electronegativity of the attached atom and hydrogen.
-It is a special type of dipole-dipole attraction between molecules.
Intermolecular hydrogen bonding is as shown:
Hence, option B is correct.
Note:
Dipole- dipole interactions are the strongest intermolecular interactions and the ionic bond is the weakest of the true chemical bonds that bind atoms to atoms.
Complete step by step answer:
-The above reason is due to the ability to form extensive intermolecular H-bonding.
-This is because of the small size and high electronegativity of elements, have the ability to form extensive intermolecular (i.e. between two molecules) hydrogen bonding
-Thus, a large amount of energy is required to break these bonds i.e. the melting and boiling points of hydrides of these elements are abnormally high.
-The interaction between molecules is much stronger when there are intermolecular hydrogen bonds because the bonds are formed between molecules.
-Further, the strength of hydrogen bond depends upon the coulombic interactions between the electronegativity of the attached atom and hydrogen.
-It is a special type of dipole-dipole attraction between molecules.
Intermolecular hydrogen bonding is as shown:
Hence, option B is correct.
Note:
Dipole- dipole interactions are the strongest intermolecular interactions and the ionic bond is the weakest of the true chemical bonds that bind atoms to atoms.
Recently Updated Pages
Why are manures considered better than fertilizers class 11 biology CBSE

Find the coordinates of the midpoint of the line segment class 11 maths CBSE

Distinguish between static friction limiting friction class 11 physics CBSE

The Chairman of the constituent Assembly was A Jawaharlal class 11 social science CBSE

The first National Commission on Labour NCL submitted class 11 social science CBSE

Number of all subshell of n + l 7 is A 4 B 5 C 6 D class 11 chemistry CBSE

Trending doubts
Differentiate between an exothermic and an endothermic class 11 chemistry CBSE

10 examples of friction in our daily life

One Metric ton is equal to kg A 10000 B 1000 C 100 class 11 physics CBSE

Difference Between Prokaryotic Cells and Eukaryotic Cells

1 Quintal is equal to a 110 kg b 10 kg c 100kg d 1000 class 11 physics CBSE

State the laws of reflection of light

