
The first man-made polymer is:
(A) PVC
(B) Teflon
(C) Bakelite
(D) Nylon
Answer
557.1k+ views
Hint: Man-made polymers are synthesized in the laboratory, by simple chemical reactions such as condensation. When monomer units condense, small molecules such as water are the byproducts.
Complete answer:
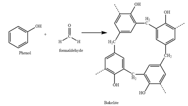
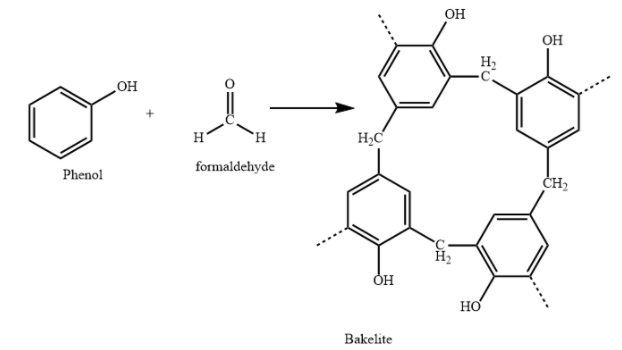
Bakelite is also called phenol formaldehyde resin. It is obtained by elimination reaction between phenol and formaldehyde.
Bakelite contains cross links, or heavily branched polymer chains. Bakelite polymer, upon heating is hardened and cannot be softened again.
Hence, it is a thermosetting polymer.
A thermosetting polymer, upon heating is hardened and cannot be softened again.
A polymer, which undergoes extensive cross linking upon heating, cannot be melted again and again without any change is a thermosetting polymer.
When bakelite is heated, the degree of cross linking significantly increases. So the polymer mass becomes infusible. It is not possible to get back the original shape after melting. Hence, it cannot be reused.
Hence, the bakelite polymer cannot be melted again and again without any change.
Bakelite has high resistance to that and electricity. Hence, it is used in automotive components. It also has some industrial applications. Bakelite has very good insulating properties. Hence, it is used in making electrical switches. Bakelite is also used in frying pans and other kitchenware products. Also, some toys and jewelry articles are made from bakelite.
Bakelite is phenol formaldehyde resin. Phenol and formaldehyde are polymerized together to obtain Bakelite. The first man-made polymer is Bakelite.
Hence, the correct option is the option (C).
Note: A thermoplastic polymer can be repeatedly softened by heating and hardened by cooling. Hence, thermoplastic polymers can be used again and again. Polythene, polypropylene etc are thermoplastic polymers.
Complete answer:
Bakelite is also called phenol formaldehyde resin. It is obtained by elimination reaction between phenol and formaldehyde.
Bakelite contains cross links, or heavily branched polymer chains. Bakelite polymer, upon heating is hardened and cannot be softened again.
Hence, it is a thermosetting polymer.
A thermosetting polymer, upon heating is hardened and cannot be softened again.
A polymer, which undergoes extensive cross linking upon heating, cannot be melted again and again without any change is a thermosetting polymer.
When bakelite is heated, the degree of cross linking significantly increases. So the polymer mass becomes infusible. It is not possible to get back the original shape after melting. Hence, it cannot be reused.
Hence, the bakelite polymer cannot be melted again and again without any change.
Bakelite has high resistance to that and electricity. Hence, it is used in automotive components. It also has some industrial applications. Bakelite has very good insulating properties. Hence, it is used in making electrical switches. Bakelite is also used in frying pans and other kitchenware products. Also, some toys and jewelry articles are made from bakelite.
Bakelite is phenol formaldehyde resin. Phenol and formaldehyde are polymerized together to obtain Bakelite. The first man-made polymer is Bakelite.
Hence, the correct option is the option (C).
Note: A thermoplastic polymer can be repeatedly softened by heating and hardened by cooling. Hence, thermoplastic polymers can be used again and again. Polythene, polypropylene etc are thermoplastic polymers.
Recently Updated Pages
The number of solutions in x in 02pi for which sqrt class 12 maths CBSE

Write any two methods of preparation of phenol Give class 12 chemistry CBSE

Differentiate between action potential and resting class 12 biology CBSE

Two plane mirrors arranged at right angles to each class 12 physics CBSE

Which of the following molecules is are chiral A I class 12 chemistry CBSE

Name different types of neurons and give one function class 12 biology CBSE

Trending doubts
Which are the Top 10 Largest Countries of the World?

What are the major means of transport Explain each class 12 social science CBSE

Draw a labelled sketch of the human eye class 12 physics CBSE

Differentiate between insitu conservation and exsitu class 12 biology CBSE

State the principle of an ac generator and explain class 12 physics CBSE

Differentiate between homogeneous and heterogeneous class 12 chemistry CBSE

