
Sucrose on hydrolysis gives?
(A) Glucose + Glucose
(B) Glucose + Galactose
(C) Glucose + Fructose
(D) Glucose + Lactose
Answer
574.8k+ views
Hint: Sucrose is a disaccharide made by the reaction between two aldohexose. Draw the expanded structure of sucrose. Now try to split the complex structure into two monosaccharides such that both compounds have 6 carbon atoms. Now identify the compounds obtained and then write the IUPAC name for the same.
Complete step by step answer:
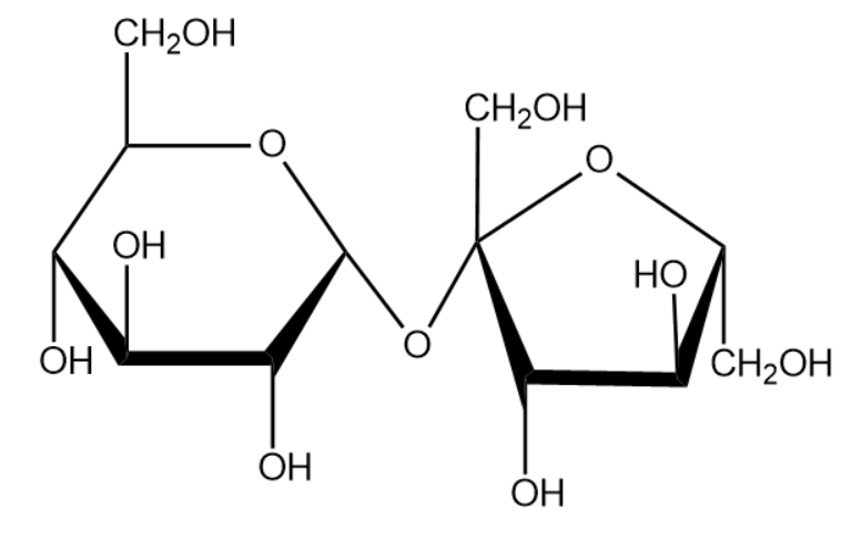
Sucrose is considered as common sugar. Sucrose is produced naturally in plants from which the edible table sugar is refined. The molecular formula for sucrose is ${{C}_{12}}{{H}_{22}}{{O}_{11}}$. We will now draw the expanded structure of a sucrose molecule.
From the above structure we can identify the monosaccharide that help to from the compound sucrose. The structure compounds are given below:
The name of the above monosaccharide is glucose.
The name of the above monosaccharide is fructose.
From the above statements we can conclude that sucrose on hydrolysis will give the respective monosaccharides, glucose and fructose. So, the correct answer is “Option C”.
Note: It is important to know that sucrose is dextrorotatory in nature. However, upon hydrolysis the products obtained are dextrorotatory glucose and laevorotatory fructose. Since the rotation of fructose is much more than that to glucose, the mixture as a whole is considered laevorotatory. Since, the hydrolysis of sucrose brings a significant change in the type of rotation to the mixture, i.e. from dextrorotatory to laevorotatory, it is also called as invert sugar.
Complete step by step answer:
Sucrose is considered as common sugar. Sucrose is produced naturally in plants from which the edible table sugar is refined. The molecular formula for sucrose is ${{C}_{12}}{{H}_{22}}{{O}_{11}}$. We will now draw the expanded structure of a sucrose molecule.
From the above structure we can identify the monosaccharide that help to from the compound sucrose. The structure compounds are given below:
The name of the above monosaccharide is glucose.
The name of the above monosaccharide is fructose.
From the above statements we can conclude that sucrose on hydrolysis will give the respective monosaccharides, glucose and fructose. So, the correct answer is “Option C”.
Note: It is important to know that sucrose is dextrorotatory in nature. However, upon hydrolysis the products obtained are dextrorotatory glucose and laevorotatory fructose. Since the rotation of fructose is much more than that to glucose, the mixture as a whole is considered laevorotatory. Since, the hydrolysis of sucrose brings a significant change in the type of rotation to the mixture, i.e. from dextrorotatory to laevorotatory, it is also called as invert sugar.
Recently Updated Pages
The number of solutions in x in 02pi for which sqrt class 12 maths CBSE

Write any two methods of preparation of phenol Give class 12 chemistry CBSE

Differentiate between action potential and resting class 12 biology CBSE

Two plane mirrors arranged at right angles to each class 12 physics CBSE

Which of the following molecules is are chiral A I class 12 chemistry CBSE

Name different types of neurons and give one function class 12 biology CBSE

Trending doubts
Which are the Top 10 Largest Countries of the World?

What are the major means of transport Explain each class 12 social science CBSE

Draw a labelled sketch of the human eye class 12 physics CBSE

Differentiate between insitu conservation and exsitu class 12 biology CBSE

State the principle of an ac generator and explain class 12 physics CBSE

Differentiate between homogeneous and heterogeneous class 12 chemistry CBSE

