
What is the purpose of a switch in a circuit? Why is the switch put in the live wire? What precaution do you take while handling a switch?
Answer
570.3k+ views
Hint: Recall that a switch is an electrical component that checks the flow of current through a circuit. Also recall that a live wire is a wire through which current is passing through from a high potential. It is a part of household sockets that delivers electricity from the large-scale power plants. To this end, think of why we are supposed to handle all electric equipment insulated from heat and electricity, as well as humidity.
Complete answer:
A switch is a component of an electrical circuit that can connect or disconnect a conducting path by interrupting or regulating the flow of electrons through the circuit. In other words. It can make or break a circuit.
When the contacts of the switch are bridged, the switch creates a closed path for current to flow through, and when the contacts are unlinked, the switch creates a break in the conductive path of the circuit which terminates the flow of current.
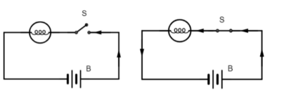
A switch usually performs two functions: ON and OFF. Considering the circuit as shown below, which consists of a battery powering the circuit and a bulb, when the switch is open, the current does not get conveyed through the circuit, since the current state of the switch leaves the circuit open and the bulb remains OFF. However, when the switch is closed, it bridges the gap forming a complete conductive path that establishes a potential difference across the ends of the conductive path and turns the bulb ON.
Now, let us understand why a switch is introduced in a live wire.
A live wire is a wire that brings current or electricity incessantly to the sockets to which we plug in appliances. Now, the switches that we assign to sockets are usually connected to the live wire in the socket. This is to ensure that current is delivered to the socket only when the user turns on the switch, and when the switch is turned off, no current is delivered to the socket. This is done as a safety precaution to ensure that electricity flows into the terminals of the socket only when required by the user and when the switch is off, there is an open circuit that breaks the flow of electricity to the circuit, ensuring that no live current exists in the socket.
There are a few other precautions that need to be taken while handling a switch.
Never touch or repair electrical circuits with damp hands as water acts as a conductor between our body and the circuit and we may experience an electric shock.
It is always recommended to handle electrical equipment with rubber gloves and goggles and ensure all tools that are used are also insulated.
Always use an electrical tester to ensure that the equipment is de-energized prior to handling it. A tester bulb glows whenever it touches a live or a hot wire showing that electricity is flowing through that wire.
Note:
In addition to the live wire which is connected directly to the generators of the power station, there is a neutral wire, which returns the electricity (flow of current) to the generators by completing the circuit, and then there is the earth wire, which does not carry electricity and is connected to the ground, and provides a fail-safe return path to the current in case of equipment malfunction.
Also, the standard electrical wiring colour code in India is as follows:
Live wire – Brown
Neutral wire – Blue
Earth wire -Green
Complete answer:
A switch is a component of an electrical circuit that can connect or disconnect a conducting path by interrupting or regulating the flow of electrons through the circuit. In other words. It can make or break a circuit.
When the contacts of the switch are bridged, the switch creates a closed path for current to flow through, and when the contacts are unlinked, the switch creates a break in the conductive path of the circuit which terminates the flow of current.
A switch usually performs two functions: ON and OFF. Considering the circuit as shown below, which consists of a battery powering the circuit and a bulb, when the switch is open, the current does not get conveyed through the circuit, since the current state of the switch leaves the circuit open and the bulb remains OFF. However, when the switch is closed, it bridges the gap forming a complete conductive path that establishes a potential difference across the ends of the conductive path and turns the bulb ON.
Now, let us understand why a switch is introduced in a live wire.
A live wire is a wire that brings current or electricity incessantly to the sockets to which we plug in appliances. Now, the switches that we assign to sockets are usually connected to the live wire in the socket. This is to ensure that current is delivered to the socket only when the user turns on the switch, and when the switch is turned off, no current is delivered to the socket. This is done as a safety precaution to ensure that electricity flows into the terminals of the socket only when required by the user and when the switch is off, there is an open circuit that breaks the flow of electricity to the circuit, ensuring that no live current exists in the socket.
There are a few other precautions that need to be taken while handling a switch.
Never touch or repair electrical circuits with damp hands as water acts as a conductor between our body and the circuit and we may experience an electric shock.
It is always recommended to handle electrical equipment with rubber gloves and goggles and ensure all tools that are used are also insulated.
Always use an electrical tester to ensure that the equipment is de-energized prior to handling it. A tester bulb glows whenever it touches a live or a hot wire showing that electricity is flowing through that wire.
Note:
In addition to the live wire which is connected directly to the generators of the power station, there is a neutral wire, which returns the electricity (flow of current) to the generators by completing the circuit, and then there is the earth wire, which does not carry electricity and is connected to the ground, and provides a fail-safe return path to the current in case of equipment malfunction.
Also, the standard electrical wiring colour code in India is as follows:
Live wire – Brown
Neutral wire – Blue
Earth wire -Green
Recently Updated Pages
Master Class 12 Economics: Engaging Questions & Answers for Success

Master Class 12 Maths: Engaging Questions & Answers for Success

Master Class 12 Biology: Engaging Questions & Answers for Success

Master Class 12 Physics: Engaging Questions & Answers for Success

Master Class 8 Maths: Engaging Questions & Answers for Success

Class 8 Question and Answer - Your Ultimate Solutions Guide

Trending doubts
Why is there a time difference of about 5 hours between class 10 social science CBSE

Write a letter to the principal requesting him to grant class 10 english CBSE

What is the median of the first 10 natural numbers class 10 maths CBSE

The Equation xxx + 2 is Satisfied when x is Equal to Class 10 Maths

Which of the following does not have a fundamental class 10 physics CBSE

State and prove converse of BPT Basic Proportionality class 10 maths CBSE

