
Oxidation of toluene to benzaldehyde by the use of chromyl chloride is called?
A) Wurtz reaction
B) Etard’s reaction
C) Fittig reaction
D) Rosenmund’s reaction
Answer
560.4k+ views
Hint:We know that benzaldehyde is an organic compound which consists of a benzene ring to which a formyl $\left( { - {\text{CHO}}} \right)$ group is attached. Chromyl chloride behaves as a weak acid in a nonpolar solvent. The methyl group of toluene gets partially oxidised by the chromyl chloride in this reaction.
Complete answer
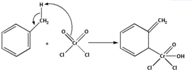
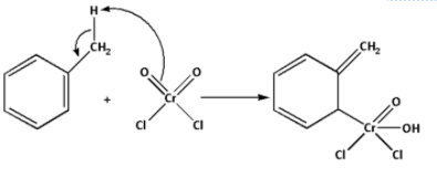
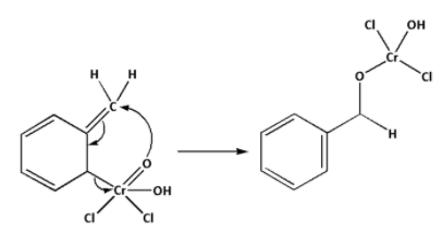
The conversion of toluene to benzaldehyde by the use of chromyl chloride is an oxidation reaction. This reaction is known as Etard’s reaction. In this reaction, the compounds having at least one methyl group bonded to the benzene ring are required. The methyl group gets oxidised and converts to an aldehyde group. The oxidation of the methyl group is done using a weak oxidising agent. Thus, chromyl chloride which is a weak oxidising agent is used.
The overall mechanism of the reaction is as follows:
Step 1: The hydrogen from the methyl group of toluene is abstracted by the chromyl chloride. The chromyl chloride forms a bond with the benzene ring. This complex is known as Etard’s complex.
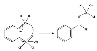
Step 2: The Etard’s complex formed in the first step undergoes rearrangement. The complex undergoes a 2,3-sigmatropic rearrangement. Thus, a rearrangement product is formed.
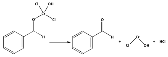
Step 3: The product formed in the above step is the rearrangement product. and are eliminated from the rearrangement product. This leads to the formation of benzaldehyde.
Thus, oxidation of toluene to benzaldehyde by the use of chromyl chloride is called Etard’s reaction.
Thus, the correct answer is option (B) Etard’s reaction.
Note:
i) Wurtz-Fittig reaction: In this reaction, two alkyl halides react with sodium metal in dry ether and produce a higher alkane.
ii) Rosenmund’s reaction: In this reaction, an acyl chloride is hydrogenated over catalyst, palladium on barium sulphate to produce aldehyde.
Complete answer
The conversion of toluene to benzaldehyde by the use of chromyl chloride is an oxidation reaction. This reaction is known as Etard’s reaction. In this reaction, the compounds having at least one methyl group bonded to the benzene ring are required. The methyl group gets oxidised and converts to an aldehyde group. The oxidation of the methyl group is done using a weak oxidising agent. Thus, chromyl chloride which is a weak oxidising agent is used.
The overall mechanism of the reaction is as follows:
Step 1: The hydrogen from the methyl group of toluene is abstracted by the chromyl chloride. The chromyl chloride forms a bond with the benzene ring. This complex is known as Etard’s complex.
Step 2: The Etard’s complex formed in the first step undergoes rearrangement. The complex undergoes a 2,3-sigmatropic rearrangement. Thus, a rearrangement product is formed.
Step 3: The product formed in the above step is the rearrangement product. and are eliminated from the rearrangement product. This leads to the formation of benzaldehyde.
Thus, oxidation of toluene to benzaldehyde by the use of chromyl chloride is called Etard’s reaction.
Thus, the correct answer is option (B) Etard’s reaction.
Note:
i) Wurtz-Fittig reaction: In this reaction, two alkyl halides react with sodium metal in dry ether and produce a higher alkane.
ii) Rosenmund’s reaction: In this reaction, an acyl chloride is hydrogenated over catalyst, palladium on barium sulphate to produce aldehyde.
Recently Updated Pages
Master Class 11 Accountancy: Engaging Questions & Answers for Success

Master Class 11 Science: Engaging Questions & Answers for Success

Master Class 11 Business Studies: Engaging Questions & Answers for Success

Master Class 11 English: Engaging Questions & Answers for Success

Master Class 11 Computer Science: Engaging Questions & Answers for Success

Master Class 9 General Knowledge: Engaging Questions & Answers for Success

Trending doubts
Sketch the electric field lines in case of an electric class 12 physics CBSE

Differentiate between homogeneous and heterogeneous class 12 chemistry CBSE

Derive an expression for electric potential at point class 12 physics CBSE

Mention any two factors on which the capacitance of class 12 physics CBSE

Drive an expression for the electric field due to an class 12 physics CBSE

a Draw Labelled diagram of Standard Hydrogen Electrode class 12 chemistry CBSE

