
Most acidic hydrogen is present in:
A.
B.
C. ${(C{H_3}CO)_3}CH$
D. ${(C{H_3})_3}COH$
Answer
556.5k+ views
Hint: The stability of the corresponding conjugate base produced decides the acidity of the compound. The more the stability of the base, the easier it was for the compound to liberate the hydrogen.
Complete step by step answer:
According to the Brønsted-Lowry concept, an acid is a compound which donates protons during a reaction. The acidic strength of a compound depends on several factors. The polarity of a bond affects the acidity of a molecule.
\[A - H \to {A^ - } + {H^ + }\]
Thus the \[A - H\] acid produces \[{A^ - }\] and \[{H^ + }\]. For the acid \[A - H\] the \[{A^ - }\] produced is the conjugate base. The stability of the conjugate base also decides the acidity of the original compound.
The given sets of compounds are organic compounds. Let us consider each compound one by one.
A.
In this compound the methylene hydrogen in the middle is flanked by two electron withdrawing groups. Thus the electron density of the \[C - H\] bonds moves towards the two acetyl groups. So the molecule is acidic and the proton attached to the methylene carbon is easily abstracted with a mild base.
The conjugate base produced by release of a proton is
The conjugate base is resonance stabilized with the three resonance structures.
B.
In this compound the methylene hydrogen present adjacent to the carbonyl is acidic due to the electron withdrawing nature of the \[C = O\]. Thus the electron density of \[C - H\] bonds moves towards the \[C = O\] group. Thus the molecule is acidic and the proton attached to the methylene carbon is easily abstracted with a base.
The conjugate base produced by release of a proton is
The conjugate base is resonance stabilized and has two resonance structures which make the conjugate base stable.
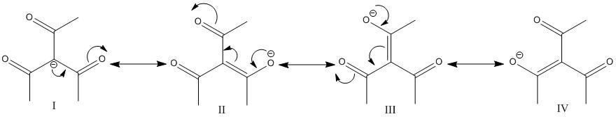
C. ${(C{H_3}CO)_3}CH$.
Like the compound present in option A the methylene hydrogen in the middle is flanked by three electron withdrawing groups. Thus the electron density of \[C - H\] bond moves towards the three acetyl groups. Thus the molecule is acidic and the proton attached to the middle carbon is easily abstracted with a mild base. In fact the acidity of this compound is more than the compound A and C.
The corresponding conjugate base is
The conjugate base is resonance stabilized with the most (four) number of resonance structures.
D. ${(C{H_3})_3}COH$
In this compound the conjugate base produced is very unstable as the hydroxyl group is attached to a tertiary butyl group. The three methyl groups have electron donating groups. This destabilizes the oxide anion produced by the release of protons. Thus the compound is not acidic.
Note:
The most acidic hydrogen is determined by the most facile release of proton by a compound. Thus the compound or molecule which liberates protons easily and smoothly contains the most acidic proton.
Complete step by step answer:
According to the Brønsted-Lowry concept, an acid is a compound which donates protons during a reaction. The acidic strength of a compound depends on several factors. The polarity of a bond affects the acidity of a molecule.
\[A - H \to {A^ - } + {H^ + }\]
Thus the \[A - H\] acid produces \[{A^ - }\] and \[{H^ + }\]. For the acid \[A - H\] the \[{A^ - }\] produced is the conjugate base. The stability of the conjugate base also decides the acidity of the original compound.
The given sets of compounds are organic compounds. Let us consider each compound one by one.
A.
In this compound the methylene hydrogen in the middle is flanked by two electron withdrawing groups. Thus the electron density of the \[C - H\] bonds moves towards the two acetyl groups. So the molecule is acidic and the proton attached to the methylene carbon is easily abstracted with a mild base.
The conjugate base produced by release of a proton is
The conjugate base is resonance stabilized with the three resonance structures.
B.
In this compound the methylene hydrogen present adjacent to the carbonyl is acidic due to the electron withdrawing nature of the \[C = O\]. Thus the electron density of \[C - H\] bonds moves towards the \[C = O\] group. Thus the molecule is acidic and the proton attached to the methylene carbon is easily abstracted with a base.
The conjugate base produced by release of a proton is
The conjugate base is resonance stabilized and has two resonance structures which make the conjugate base stable.
C. ${(C{H_3}CO)_3}CH$.
Like the compound present in option A the methylene hydrogen in the middle is flanked by three electron withdrawing groups. Thus the electron density of \[C - H\] bond moves towards the three acetyl groups. Thus the molecule is acidic and the proton attached to the middle carbon is easily abstracted with a mild base. In fact the acidity of this compound is more than the compound A and C.
The corresponding conjugate base is
The conjugate base is resonance stabilized with the most (four) number of resonance structures.
D. ${(C{H_3})_3}COH$
In this compound the conjugate base produced is very unstable as the hydroxyl group is attached to a tertiary butyl group. The three methyl groups have electron donating groups. This destabilizes the oxide anion produced by the release of protons. Thus the compound is not acidic.
Note:
The most acidic hydrogen is determined by the most facile release of proton by a compound. Thus the compound or molecule which liberates protons easily and smoothly contains the most acidic proton.
Recently Updated Pages
The number of solutions in x in 02pi for which sqrt class 12 maths CBSE

Write any two methods of preparation of phenol Give class 12 chemistry CBSE

Differentiate between action potential and resting class 12 biology CBSE

Two plane mirrors arranged at right angles to each class 12 physics CBSE

Which of the following molecules is are chiral A I class 12 chemistry CBSE

Name different types of neurons and give one function class 12 biology CBSE

Trending doubts
Which are the Top 10 Largest Countries of the World?

What are the major means of transport Explain each class 12 social science CBSE

Draw a labelled sketch of the human eye class 12 physics CBSE

Differentiate between insitu conservation and exsitu class 12 biology CBSE

The computer jargonwwww stands for Aworld wide web class 12 physics CBSE

State the principle of an ac generator and explain class 12 physics CBSE

