
Give the structure of ${{\left( HP{{O}_{3}} \right)}_{3}}$ .
Answer
560.7k+ views
Hint: Phosphorous acid undergoes polymerization reaction in the presence of acetic anhydride and generates two types of polymers. They are chain-like polymers and ring like polymers contain repeated units of phosphorous acid.
Complete step by step answer:
- In the question it is given that write the structure of ${{\left( HP{{O}_{3}} \right)}_{3}}$ .
- The name of ${{H}_{3}}P{{O}_{3}}$ is phosphorous acid.
- Generally phosphorus acid undergoes polymerization and forms the ring type polymers in a major amount.
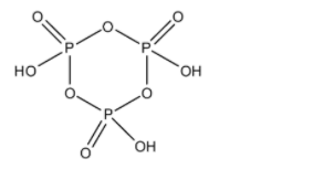
- The structure of the metaphosphoric acid ${{\left( HP{{O}_{3}} \right)}_{3}}$ is as follows.
- It contains a ring-like structure in which oxygen and phosphorus atoms are arranged in alternate positions in the ring.
- Later each phosphorus atom is attached to another oxygen atom through a double bond and each phosphorus atom carries a –OH group with it.
- There are three phosphorus atoms and contain three –OH groups.
- ${{\left( HP{{O}_{3}} \right)}_{3}}$ is called Trimetaphosphoric acid.
- In the structure of the ${{\left( HP{{O}_{3}} \right)}_{3}}$ there is no P-P bond means the number of P-P bonds in the structure of the ${{\left( HP{{O}_{3}} \right)}_{3}}$ is zero.
- At the same time there is a bond between two oxygen atoms. Means there is no O-O bond in the structure of the ${{\left( HP{{O}_{3}} \right)}_{3}}$ .
Note: Once the polymerized product is formed from the phosphorus acid monomers it is very stable and won’t undergo any cleavage with the external reagents. Means polymerization structures of the phosphorous acid are more stable than the normal simple structures. If ‘n’ molecules of phosphorous acid undergo polymerization then it forms a chain like structure.
Complete step by step answer:
- In the question it is given that write the structure of ${{\left( HP{{O}_{3}} \right)}_{3}}$ .
- The name of ${{H}_{3}}P{{O}_{3}}$ is phosphorous acid.
- Generally phosphorus acid undergoes polymerization and forms the ring type polymers in a major amount.
- The structure of the metaphosphoric acid ${{\left( HP{{O}_{3}} \right)}_{3}}$ is as follows.
- It contains a ring-like structure in which oxygen and phosphorus atoms are arranged in alternate positions in the ring.
- Later each phosphorus atom is attached to another oxygen atom through a double bond and each phosphorus atom carries a –OH group with it.
- There are three phosphorus atoms and contain three –OH groups.
- ${{\left( HP{{O}_{3}} \right)}_{3}}$ is called Trimetaphosphoric acid.
- In the structure of the ${{\left( HP{{O}_{3}} \right)}_{3}}$ there is no P-P bond means the number of P-P bonds in the structure of the ${{\left( HP{{O}_{3}} \right)}_{3}}$ is zero.
- At the same time there is a bond between two oxygen atoms. Means there is no O-O bond in the structure of the ${{\left( HP{{O}_{3}} \right)}_{3}}$ .
Note: Once the polymerized product is formed from the phosphorus acid monomers it is very stable and won’t undergo any cleavage with the external reagents. Means polymerization structures of the phosphorous acid are more stable than the normal simple structures. If ‘n’ molecules of phosphorous acid undergo polymerization then it forms a chain like structure.
Recently Updated Pages
A man running at a speed 5 ms is viewed in the side class 12 physics CBSE

State and explain Hardy Weinbergs Principle class 12 biology CBSE

Which of the following statements is wrong a Amnion class 12 biology CBSE

Two Planoconcave lenses 1 and 2 of glass of refractive class 12 physics CBSE

The compound 2 methyl 2 butene on reaction with NaIO4 class 12 chemistry CBSE

Bacterial cell wall is made up of A Cellulose B Hemicellulose class 12 biology CBSE

Trending doubts
What are the major means of transport Explain each class 12 social science CBSE

Which are the Top 10 Largest Countries of the World?

Draw a labelled sketch of the human eye class 12 physics CBSE

Explain sex determination in humans with line diag class 12 biology CBSE

The pH of the pancreatic juice is A 64 B 86 C 120 D class 12 biology CBSE

Give 10 examples of unisexual and bisexual flowers

