
How is the following transformation best carried out?
(A) $B{{H}_{3}}-THF; {{H}_{2}}O/NaOH$
(B) ${{O}_{3}}; Zn/AcOH$
(C) $HgS{{O}_{4}}/{{H}_{2}}S{{O}_{4}}/{{H}_{2}}O$
(D) $Os{{O}_{4}}; NaHS{{O}_{3}}$
Answer
575.1k+ views
Hint: To carry out the transformation, we need to check each reagent mentioned in the option.
Complete step by step answer:
(A) Hydroboration-
This is the process where a hydrogen boron bond is added to the double bond. Bond can be either carbon-carbon bond or carbon-nitrogen bond. This can be also performed on a carbon-carbon triple bond.
Hydroboration of terminal di-alkyne produces enols by anti-Markovnikov’s addition rule which rearrange to produce di-aldehyde at ends.
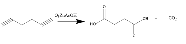
(B) Ozonolysis- It is an organic redox reaction. It refers to the organic chemical reaction where ozone cleaves the unsaturated bonds. Bonds can be of alkenes, alkynes, or azo compounds (compounds with diazinyl functional group).
Ozonolysis produces dicarboxylic acids and $C{{O}_{2}}$ by oxidative cleavage.
(C) Oxymercuration- It is an electrophilic addition organic reaction that transforms an alkene into neutral alcohol.
Oxymercuration also produces enol by Markovnikov’s addition rule which rearranges to form di-ketone product.
(D) Alkynes do not react with $Os{{O}_{4}}$.
Hence, we can see that oxymercuration gives the best transformation.
So, the correct answer is “Option C”.
Note: Do note that all the three mechanisms explained which shows reaction with alkynes have the end product as alcohol at some point. But the given transformation can only be carried out by oxymercuration.
Complete step by step answer:
(A) Hydroboration-
This is the process where a hydrogen boron bond is added to the double bond. Bond can be either carbon-carbon bond or carbon-nitrogen bond. This can be also performed on a carbon-carbon triple bond.
Hydroboration of terminal di-alkyne produces enols by anti-Markovnikov’s addition rule which rearrange to produce di-aldehyde at ends.
(B) Ozonolysis- It is an organic redox reaction. It refers to the organic chemical reaction where ozone cleaves the unsaturated bonds. Bonds can be of alkenes, alkynes, or azo compounds (compounds with diazinyl functional group).
Ozonolysis produces dicarboxylic acids and $C{{O}_{2}}$ by oxidative cleavage.
(C) Oxymercuration- It is an electrophilic addition organic reaction that transforms an alkene into neutral alcohol.
Oxymercuration also produces enol by Markovnikov’s addition rule which rearranges to form di-ketone product.
(D) Alkynes do not react with $Os{{O}_{4}}$.
Hence, we can see that oxymercuration gives the best transformation.
So, the correct answer is “Option C”.
Note: Do note that all the three mechanisms explained which shows reaction with alkynes have the end product as alcohol at some point. But the given transformation can only be carried out by oxymercuration.
Recently Updated Pages
The number of solutions in x in 02pi for which sqrt class 12 maths CBSE

Write any two methods of preparation of phenol Give class 12 chemistry CBSE

Differentiate between action potential and resting class 12 biology CBSE

Two plane mirrors arranged at right angles to each class 12 physics CBSE

Which of the following molecules is are chiral A I class 12 chemistry CBSE

Name different types of neurons and give one function class 12 biology CBSE

Trending doubts
Which are the Top 10 Largest Countries of the World?

What are the major means of transport Explain each class 12 social science CBSE

Draw a labelled sketch of the human eye class 12 physics CBSE

Differentiate between insitu conservation and exsitu class 12 biology CBSE

State the principle of an ac generator and explain class 12 physics CBSE

Differentiate between homogeneous and heterogeneous class 12 chemistry CBSE

