
DBN is a bicyclic compound which is used as a base. What is the major product in the following reaction?
A.
B.
C.
D. Both A and B
Answer
561k+ views
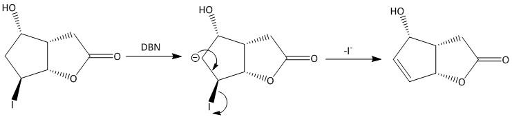
Hint: \[DBN\]is a fused bicyclic compound formed by the fusion of a five and a six membered ring. This compound acts as an organic base in organic synthesis.
Complete step by step answer:
\[DBN\] is an organic compound with chemical formula \ [{C_7}{H_{12}}{N_2}\]. It is an amidine base and is often used for abstracting protons from compounds. The anion produced takes part in several reactions like elimination, substitution, addition and rearrangement reactions.
The given reaction is an example of elimination reaction. The reaction begins by abstracting the proton by the base. The anion produced takes part in an elimination reaction by removal of the iodo group. The iodo group is a very good leaving group.
Iodine is an element in the periodic table with atomic number\[53\]. Its electronic configuration is $I:[Kr]4{d^{10}}5{s^2}5{p^5}$
The iodine has vacant \[p\]-orbital and can place an electron in the orbital. Iodine also has inner \[4f\] orbitals in which it can accommodate an extra pair of electrons. The mechanism for the elimination reaction is written as:
The endocyclic double bond is formed by the elimination of iodo groups. The reaction produces two \[s{p^2}\] hybridized carbon atoms from \[s{p^3}\] hybridized carbon atom. The reaction follows \[E1cb\](\[cb\] = conjugate base) mechanism in which the first step is the rate determining step, i.e. anion formation. The first step is reversible in nature. The second step is a slow step.
So, the correct answer is Option A.
Note: The reaction is also done using other bases like \[DBU\] or triethylamine or\[DIPEA\]. All these are organic bases and help in abstraction of protons and thereby resulting in an elimination reaction.
Complete step by step answer:
\[DBN\] is an organic compound with chemical formula \ [{C_7}{H_{12}}{N_2}\]. It is an amidine base and is often used for abstracting protons from compounds. The anion produced takes part in several reactions like elimination, substitution, addition and rearrangement reactions.
The given reaction is an example of elimination reaction. The reaction begins by abstracting the proton by the base. The anion produced takes part in an elimination reaction by removal of the iodo group. The iodo group is a very good leaving group.
Iodine is an element in the periodic table with atomic number\[53\]. Its electronic configuration is $I:[Kr]4{d^{10}}5{s^2}5{p^5}$
The iodine has vacant \[p\]-orbital and can place an electron in the orbital. Iodine also has inner \[4f\] orbitals in which it can accommodate an extra pair of electrons. The mechanism for the elimination reaction is written as:
The endocyclic double bond is formed by the elimination of iodo groups. The reaction produces two \[s{p^2}\] hybridized carbon atoms from \[s{p^3}\] hybridized carbon atom. The reaction follows \[E1cb\](\[cb\] = conjugate base) mechanism in which the first step is the rate determining step, i.e. anion formation. The first step is reversible in nature. The second step is a slow step.
So, the correct answer is Option A.
Note: The reaction is also done using other bases like \[DBU\] or triethylamine or\[DIPEA\]. All these are organic bases and help in abstraction of protons and thereby resulting in an elimination reaction.
Recently Updated Pages
Why are manures considered better than fertilizers class 11 biology CBSE

Find the coordinates of the midpoint of the line segment class 11 maths CBSE

Distinguish between static friction limiting friction class 11 physics CBSE

The Chairman of the constituent Assembly was A Jawaharlal class 11 social science CBSE

The first National Commission on Labour NCL submitted class 11 social science CBSE

Number of all subshell of n + l 7 is A 4 B 5 C 6 D class 11 chemistry CBSE

Trending doubts
1 Quintal is equal to a 110 kg b 10 kg c 100kg d 1000 class 11 physics CBSE

Why is steel more elastic than rubber class 11 physics CBSE

What is boron A Nonmetal B Metal C Metalloid D All class 11 chemistry CBSE

What is Environment class 11 chemistry CBSE

Bond order ofO2 O2+ O2 and O22 is in order A O2 langle class 11 chemistry CBSE

How many squares are there in a chess board A 1296 class 11 maths CBSE

