
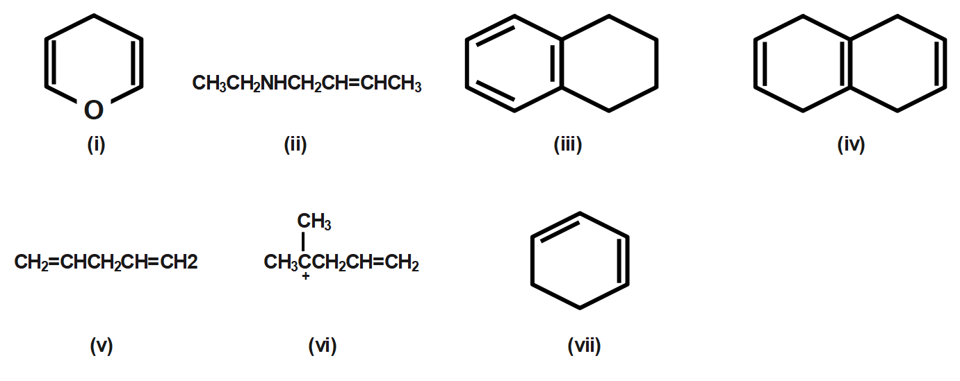
Which of the set of compounds do not have a conjugated system?
A. (ii), (iv), (v) and (vi)
B. (i), (ii), (v) and (vii)
C. (ii), (iii), (v) and (vi)
D. None of these.
Answer
522.3k+ views
Hint: Non aromatic or aromatic compounds can be checked by certain rules, if it follows then, aromatic and if not then, not aromatic. Aromaticity is a special property which is seen in organic compounds of ring-shaped, flat structures with a ring of conjugated systems that gives increased stability.
Complete step by step answer:
An aromatic compound contains a set of covalent bonds with specific characteristics
A delocalized conjugated system of electrons, which is an arrangement of alternating single and double bonds. It should be a coplanar structure having all the atoms in the same plane. It should follow Huckel’s rule, a number of delocalized electrons\[\left( 4n+2 \right)\], where \[n=0,1,2,3,\] and so on. Atoms should be arranged in one or more rings.
In a conjugated system, electrons are delocalized with the alternate single and double bond. Lone pairs can also be part of the system. Compounds (i),(iii) and (vii) have a conjugated system.
Therefore correct answer is option C that is three compounds which do not have a conjugated system are (ii),(iv),(v) and (vi)
So, the correct answer is Option C
Note: Note that the compound’s’ does not seem to be aromatic by its structure because the ring has $4$ electrons, which does not satisfy Huckel’s rule. But on resonance, with other atoms, a resonating structure is formed which is aromatic. So, do not judge Aromaticity by just looking at the compound, it can be aromatic in one form or another.
Complete step by step answer:
An aromatic compound contains a set of covalent bonds with specific characteristics
A delocalized conjugated system of electrons, which is an arrangement of alternating single and double bonds. It should be a coplanar structure having all the atoms in the same plane. It should follow Huckel’s rule, a number of delocalized electrons\[\left( 4n+2 \right)\], where \[n=0,1,2,3,\] and so on. Atoms should be arranged in one or more rings.
In a conjugated system, electrons are delocalized with the alternate single and double bond. Lone pairs can also be part of the system. Compounds (i),(iii) and (vii) have a conjugated system.
Therefore correct answer is option C that is three compounds which do not have a conjugated system are (ii),(iv),(v) and (vi)
So, the correct answer is Option C
Note: Note that the compound’s’ does not seem to be aromatic by its structure because the ring has $4$ electrons, which does not satisfy Huckel’s rule. But on resonance, with other atoms, a resonating structure is formed which is aromatic. So, do not judge Aromaticity by just looking at the compound, it can be aromatic in one form or another.
Recently Updated Pages
Master Class 12 English: Engaging Questions & Answers for Success

Master Class 12 Business Studies: Engaging Questions & Answers for Success

Master Class 12 Economics: Engaging Questions & Answers for Success

Master Class 12 Social Science: Engaging Questions & Answers for Success

Master Class 12 Maths: Engaging Questions & Answers for Success

Master Class 12 Chemistry: Engaging Questions & Answers for Success

Trending doubts
Draw a labelled sketch of the human eye class 12 physics CBSE

Explain sex determination in humans with line diag class 12 biology CBSE

The pH of the pancreatic juice is A 64 B 86 C 120 D class 12 biology CBSE

Explain sex determination in humans with the help of class 12 biology CBSE

Differentiate between homogeneous and heterogeneous class 12 chemistry CBSE

Which state in India is known as the Granary of India class 12 social science CBSE

