
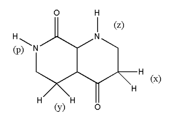
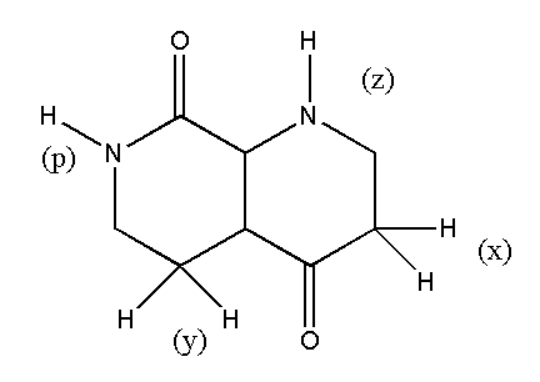
Which of the indicated hydrogen is most acidic:
A. (x)
B. (y)
C. (z)
D. (p)
Answer
478.2k+ views
Hint: The acidity of the hydrogen depends on various factors. Few of them are the stability of hydrogen and the electronegativity of the atom it is attached to. The stability of the structure can be due to conjugation or inductive effect. We will consider all the parameters for finding the most acidic hydrogen in the compound.
Complete Step By Step Answer:
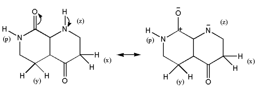
The acidity of hydrogen depends on some of the factors. Few of them are like the stability of the compound and the electronegativity of the atom to which hydrogen is attached. From the above structure we can observe that the most electronegative atom to which hydrogen is attached is nitrogen. Therefore we can say that we have to find the more acidic hydrogen between p and z.
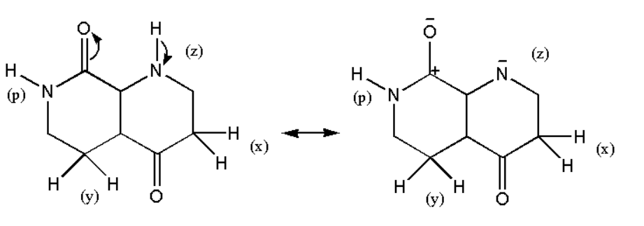
Now let us assume that (p) hydrogen is removed and then the stability of compound can be observed as:
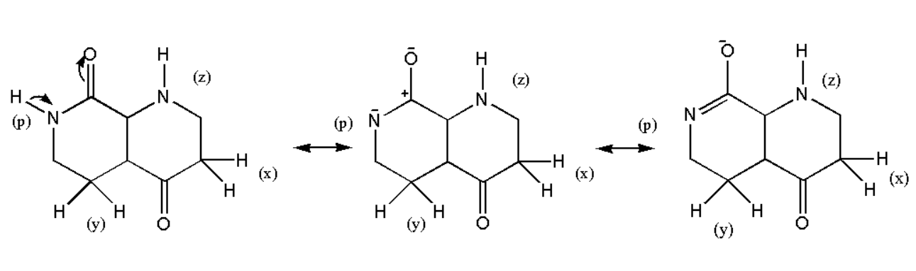
Therefore the compound will be stabilized by resonance. On the other if a hydrogen (z) is removed then we have the following structure:
Thus it is not stabilized by resonance and hence we can say that the hydrogen (z) will not be acidic more than that of (p).
Thus we can say that the most stabilized structure is obtained when hydrogen (p) is removed thus it is the most acidic hydrogen.
Hence the correct option is D. (p).
Note:
When hydrogen leaves its position then negative charge is developed on the atom on which it is attached. Thus the electronegative element has a higher tendency to gain negative charge. Thus more electronegative atoms having hydrogen will make it acidic. The negative charge will be more stable on electronegative elements than electropositive elements. More the delocalization of electrons more will be the acidity of hydrogen.
Complete Step By Step Answer:
The acidity of hydrogen depends on some of the factors. Few of them are like the stability of the compound and the electronegativity of the atom to which hydrogen is attached. From the above structure we can observe that the most electronegative atom to which hydrogen is attached is nitrogen. Therefore we can say that we have to find the more acidic hydrogen between p and z.
Now let us assume that (p) hydrogen is removed and then the stability of compound can be observed as:
Therefore the compound will be stabilized by resonance. On the other if a hydrogen (z) is removed then we have the following structure:
Thus it is not stabilized by resonance and hence we can say that the hydrogen (z) will not be acidic more than that of (p).
Thus we can say that the most stabilized structure is obtained when hydrogen (p) is removed thus it is the most acidic hydrogen.
Hence the correct option is D. (p).
Note:
When hydrogen leaves its position then negative charge is developed on the atom on which it is attached. Thus the electronegative element has a higher tendency to gain negative charge. Thus more electronegative atoms having hydrogen will make it acidic. The negative charge will be more stable on electronegative elements than electropositive elements. More the delocalization of electrons more will be the acidity of hydrogen.
Recently Updated Pages
Why are manures considered better than fertilizers class 11 biology CBSE

Find the coordinates of the midpoint of the line segment class 11 maths CBSE

Distinguish between static friction limiting friction class 11 physics CBSE

The Chairman of the constituent Assembly was A Jawaharlal class 11 social science CBSE

The first National Commission on Labour NCL submitted class 11 social science CBSE

Number of all subshell of n + l 7 is A 4 B 5 C 6 D class 11 chemistry CBSE

Trending doubts
Differentiate between an exothermic and an endothermic class 11 chemistry CBSE

10 examples of friction in our daily life

One Metric ton is equal to kg A 10000 B 1000 C 100 class 11 physics CBSE

Difference Between Prokaryotic Cells and Eukaryotic Cells

1 Quintal is equal to a 110 kg b 10 kg c 100kg d 1000 class 11 physics CBSE

State the laws of reflection of light

