
Which of the following is not a polymer?
A. Cholesterol
B. Oxytocin
C. Amylose
D. RNA
Answer
569.1k+ views
Hint: Generally we define polymers as very large molecules having high molecular mass. They are also referred to as macromolecules, which are formed by joining repeating structural units together on a large scale.
Complete answer:
Let us discuss one by one these compounds to know their structures then we will be able to know which are polymer or not.
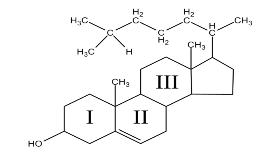
Cholesterol: Cholesterol is a lipid having a unique structure consisting of four hydrocarbon linked hydrocarbon rings which results forming the bulky steroid structure. Cholesterol is also known as sterol because it contains alcohol and steroid.
Oxytocin: Oxytocin is a peptide of amino acids in a sequence of cysteine-tyrosine-isoleucine-glutamine-asparagine-cysteine-proline-leucine-glycine-amide.
Oxytocin has a molecular mass of 1007 Da.In the structure we can see it is a polyamide.
Amylose:
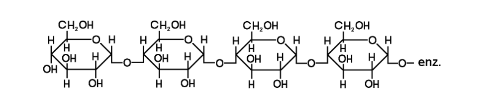
Starch consists of two components amylose and amylose. Amylose is a water soluble component which consists of about 15-20% of starch. Amylose is a long unbranched chain with 200-1000 -D-(+) glucose units held by C1-C4 glycosidic linkage.
RNA: It forms when many nucleotides are joined together by phosphodiester linkage between 5’ and 3’ carbon atoms of the pentose sugar. It is a polynucleotide.
You have seen and read all the structures and properties and now you get an idea about which is polymer.
So Oxytocin, amylose, RNA all are polymers except cholesterol which is a steroid.
Correct Option: A
Note:
To solve this question we must have to be familiar with all these structures. You can try option elimination methods to solve these questions. You can eliminate those options in which you confirm that it is polymer.
Complete answer:
Let us discuss one by one these compounds to know their structures then we will be able to know which are polymer or not.
Cholesterol: Cholesterol is a lipid having a unique structure consisting of four hydrocarbon linked hydrocarbon rings which results forming the bulky steroid structure. Cholesterol is also known as sterol because it contains alcohol and steroid.
Oxytocin: Oxytocin is a peptide of amino acids in a sequence of cysteine-tyrosine-isoleucine-glutamine-asparagine-cysteine-proline-leucine-glycine-amide.
Oxytocin has a molecular mass of 1007 Da.In the structure we can see it is a polyamide.
Amylose:
Starch consists of two components amylose and amylose. Amylose is a water soluble component which consists of about 15-20% of starch. Amylose is a long unbranched chain with 200-1000 -D-(+) glucose units held by C1-C4 glycosidic linkage.
RNA: It forms when many nucleotides are joined together by phosphodiester linkage between 5’ and 3’ carbon atoms of the pentose sugar. It is a polynucleotide.
You have seen and read all the structures and properties and now you get an idea about which is polymer.
So Oxytocin, amylose, RNA all are polymers except cholesterol which is a steroid.
Correct Option: A
Note:
To solve this question we must have to be familiar with all these structures. You can try option elimination methods to solve these questions. You can eliminate those options in which you confirm that it is polymer.
Recently Updated Pages
What is the role of the split ring in an electric class 12 physics CBSE

If a woman is using copperT will it help in protecting class 12 biology CBSE

A progressive wave travelling along the positive xdirection class 12 physics CBSE

In the given figure a monkey of mass m is climbing class 12 physics CBSE

i What is the difference in potentials between two class 12 physics CBSE

The equivalent conductance of Ba2 + and Cl are respectively class 12 chemistry CBSE

Trending doubts
What are the major means of transport Explain each class 12 social science CBSE

Which are the Top 10 Largest Countries of the World?

Draw a labelled sketch of the human eye class 12 physics CBSE

Explain sex determination in humans with line diag class 12 biology CBSE

The pH of the pancreatic juice is A 64 B 86 C 120 D class 12 biology CBSE

Explain sex determination in humans with the help of class 12 biology CBSE

