
Which of the following biomolecules contain non-transition metal ions?
A.Vitamin ${B_{12}}$
B.Chlorophyll
C.Haemoglobin
D.Insulin
Answer
541.5k+ views
Hint:The metals belonging to the d-block in the periodic table are called transition metals. Those metals which do not come under this category are called non-transition metals. They are mainly s and p block elements.
Complete step by step answer:
Biomolecules are biological molecules which are produced by biological cells and living organisms. Vitamin ${B_{12}}$, Chlorophyll, Haemoglobin and Insulin are important biomolecules having specific biological functions in the living body.
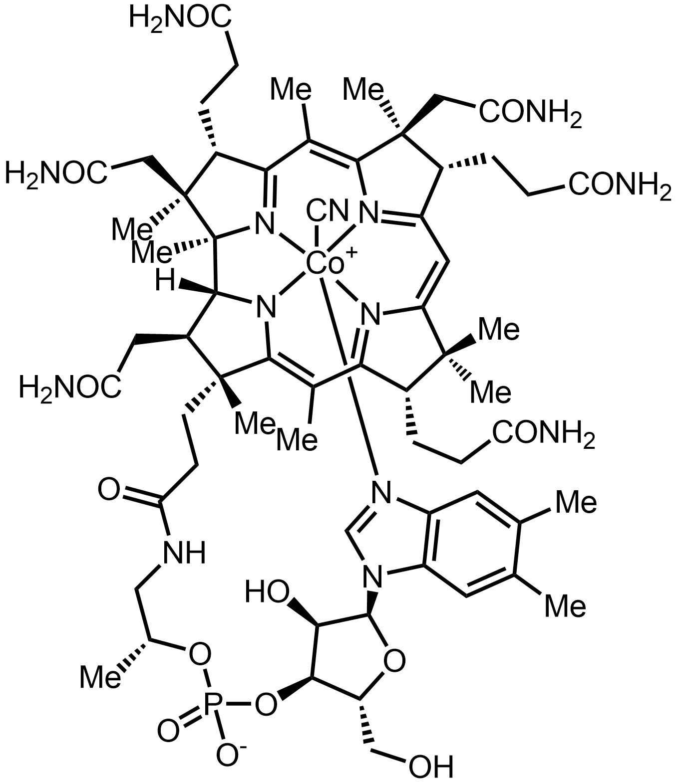
The structures of Vitamin ${B_{12}}$, Chlorophyll, Haemoglobin and insulin are given below.
A.Vitamin ${B_{12}}$
B.Chlorophyll
C.Haemoglobin
D.Insulin
From the figure we can see that the metal present in vitamin ${B_{12}}$, chlorophyll and haemoglobin are cobalt, magnesium and iron respectively. Cobalt and iron belong to the d-block in the periodic table. Hence they are transition metals. But magnesium belongs to the s-block and is not a transition metal ion. Hence the biomolecule containing non-transition metal ions is chlorophyll.
Therefore,the correct option is B.
Additional information-
Chlorophyll is a biomolecule mainly present in leaves of plants and trees. It helps the leaves to absorb sunlight and use this energy for the production of carbohydrates from carbon dioxide and water. This process is called photosynthesis. Structure of chlorophyll contains a magnesium ion trapped inside a porphyrin ring. Nitrogen of porphyrin rings is bonded to magnesium.
Note:
Insulin does not contain any metals. But metals like chromium, copper and zinc help the peptide chain in the production of insulin. Insulin is a peptide hormone that balances the level of sugar in the blood.
Complete step by step answer:
Biomolecules are biological molecules which are produced by biological cells and living organisms. Vitamin ${B_{12}}$, Chlorophyll, Haemoglobin and Insulin are important biomolecules having specific biological functions in the living body.
The structures of Vitamin ${B_{12}}$, Chlorophyll, Haemoglobin and insulin are given below.
A.Vitamin ${B_{12}}$
B.Chlorophyll
C.Haemoglobin
D.Insulin
From the figure we can see that the metal present in vitamin ${B_{12}}$, chlorophyll and haemoglobin are cobalt, magnesium and iron respectively. Cobalt and iron belong to the d-block in the periodic table. Hence they are transition metals. But magnesium belongs to the s-block and is not a transition metal ion. Hence the biomolecule containing non-transition metal ions is chlorophyll.
Therefore,the correct option is B.
Additional information-
Chlorophyll is a biomolecule mainly present in leaves of plants and trees. It helps the leaves to absorb sunlight and use this energy for the production of carbohydrates from carbon dioxide and water. This process is called photosynthesis. Structure of chlorophyll contains a magnesium ion trapped inside a porphyrin ring. Nitrogen of porphyrin rings is bonded to magnesium.
Note:
Insulin does not contain any metals. But metals like chromium, copper and zinc help the peptide chain in the production of insulin. Insulin is a peptide hormone that balances the level of sugar in the blood.
Recently Updated Pages
A man running at a speed 5 ms is viewed in the side class 12 physics CBSE

State and explain Hardy Weinbergs Principle class 12 biology CBSE

Which of the following statements is wrong a Amnion class 12 biology CBSE

Two Planoconcave lenses 1 and 2 of glass of refractive class 12 physics CBSE

The compound 2 methyl 2 butene on reaction with NaIO4 class 12 chemistry CBSE

Bacterial cell wall is made up of A Cellulose B Hemicellulose class 12 biology CBSE

Trending doubts
What are the major means of transport Explain each class 12 social science CBSE

Which are the Top 10 Largest Countries of the World?

Draw a labelled sketch of the human eye class 12 physics CBSE

Explain sex determination in humans with line diag class 12 biology CBSE

The pH of the pancreatic juice is A 64 B 86 C 120 D class 12 biology CBSE

Give 10 examples of unisexual and bisexual flowers

