
The product S in the reaction given below is:
A.
B.
C.
D.
Answer
568.5k+ views
Hint: Friedel reaction is the introduction of alkyl or acyl groups into an aromatic structure in the presence of acid catalyst. They are of two types-Friedel Craft acylation and Friedel Craft alkylation.
While dehydration is the process of removal of water molecules from a compound. Aromatic sulfonation is a reaction in which ${\text{ - S}}{{\text{O}}_3}{\text{H}}$ group is attached to an aryl group.
Complete step by step solution:
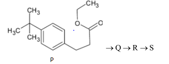
The complete reaction mechanism of production of compounds Q, R, S from compound P is given below:
In the initial step, the given compound P is reacted with Grignard reagent, ${\text{C}}{{\text{H}}_3}{\text{MgBr}}$ in the presence of a solvent, ether, ${{\text{C}}_2}{{\text{H}}_5}{\text{O}}{{\text{C}}_2}{{\text{H}}_5}$. It produces an adduct with the Grignard reagent. It is then undergone hydrolysis which produces alcohol. This is the compound Q. This compound undergoes dehydration reaction in the presence of concentrated sulfuric acid. This compound having a carbocation, undergoes further Friedel Craft alkylation in which the compound is reacted with alkyl halide to produce a cyclopentane ring attached to the benzene group. This further undergoes Friedel Craft acylation in which the compound is reacted with the acyl chloride in the presence of aluminium chloride. It produces an aryl ketone.
Both Friedel Craft alkylation and acylation proceed by electrophilic aromatic substitution.
Thus the product S is .
Hence the correct option is C.
Note: Friedel Craft alkylation reaction is a type of electrophilic substitution. It involves an intermediate which is a carbocation. Commonly used alkylating agents are alkyl halides, alkenes, alcohols, etc. Also the most commonly used catalysts should be Lewis acids. They are ${\text{AlC}}{{\text{l}}_3}$ and ${\text{B}}{{\text{F}}_3}$.
Generally, acylation reaction is better than alkylation reaction. Friedel Craft acylation reaction has more advantages than the alkylation reaction.
While dehydration is the process of removal of water molecules from a compound. Aromatic sulfonation is a reaction in which ${\text{ - S}}{{\text{O}}_3}{\text{H}}$ group is attached to an aryl group.
Complete step by step solution:
The complete reaction mechanism of production of compounds Q, R, S from compound P is given below:
In the initial step, the given compound P is reacted with Grignard reagent, ${\text{C}}{{\text{H}}_3}{\text{MgBr}}$ in the presence of a solvent, ether, ${{\text{C}}_2}{{\text{H}}_5}{\text{O}}{{\text{C}}_2}{{\text{H}}_5}$. It produces an adduct with the Grignard reagent. It is then undergone hydrolysis which produces alcohol. This is the compound Q. This compound undergoes dehydration reaction in the presence of concentrated sulfuric acid. This compound having a carbocation, undergoes further Friedel Craft alkylation in which the compound is reacted with alkyl halide to produce a cyclopentane ring attached to the benzene group. This further undergoes Friedel Craft acylation in which the compound is reacted with the acyl chloride in the presence of aluminium chloride. It produces an aryl ketone.
Both Friedel Craft alkylation and acylation proceed by electrophilic aromatic substitution.
Thus the product S is .
Hence the correct option is C.
Note: Friedel Craft alkylation reaction is a type of electrophilic substitution. It involves an intermediate which is a carbocation. Commonly used alkylating agents are alkyl halides, alkenes, alcohols, etc. Also the most commonly used catalysts should be Lewis acids. They are ${\text{AlC}}{{\text{l}}_3}$ and ${\text{B}}{{\text{F}}_3}$.
Generally, acylation reaction is better than alkylation reaction. Friedel Craft acylation reaction has more advantages than the alkylation reaction.
Recently Updated Pages
Master Class 12 Economics: Engaging Questions & Answers for Success

Master Class 12 Physics: Engaging Questions & Answers for Success

Master Class 12 English: Engaging Questions & Answers for Success

Master Class 12 Social Science: Engaging Questions & Answers for Success

Master Class 12 Maths: Engaging Questions & Answers for Success

Master Class 12 Business Studies: Engaging Questions & Answers for Success

Trending doubts
Which are the Top 10 Largest Countries of the World?

What are the major means of transport Explain each class 12 social science CBSE

Draw a labelled sketch of the human eye class 12 physics CBSE

Why cannot DNA pass through cell membranes class 12 biology CBSE

Differentiate between insitu conservation and exsitu class 12 biology CBSE

Draw a neat and well labeled diagram of TS of ovary class 12 biology CBSE

