
The number of structurally isomeric esters with molecular formula \[{{\text{C}}_{\text{5}}}{{\text{H}}_{{\text{10}}}}{{\text{O}}_{\text{2}}}\] are
A) 3
B) 5
C) 6
D) 8
Answer
548.4k+ views
Hint: Using the given molecular formula of ester determines the degrees of unsaturation. Ester is a carboxylic derivative of acid. The general formula of the ester is \[{\text{RCOOR'}}\]. Isomers are the compound having the same molecular formula but a different structural arrangement.
Complete solution:
We have to determine the structural isomers of ester having molecular formula\[{{\text{C}}_{\text{5}}}{{\text{H}}_{{\text{10}}}}{{\text{O}}_{\text{2}}}\].
To determine the structures of isomers we have to determine the index of hydrogen deficiency (IHD) which is also known as units of unsaturation using the following formula.
\[{\text{IHD = 0}}{\text{.5}} \times {\text{[2c + 2 - h - x + n]}}\]
Where,
c = number of carbon atoms = 5
h = number of hydrogen atoms = 10
x = number of halogen atoms = 0
n = number of nitrogen atoms = 0
\[{\text{IHD = 0}}{\text{.5}} \times {\text{[2}} \times {\text{5 + 2 - 10 - 0 + 0]}}\]
\[{\text{IHD = }}\]1
This indicates that ester having molecular formula\[{{\text{C}}_{\text{5}}}{{\text{H}}_{{\text{10}}}}{{\text{O}}_{\text{2}}}\] contains one double bond of carbonyl carbon.
The general structure of ester is
Here, R and R’ are two different alkyl groups. By using a different type of alkyl groups we can draw the different isomers of ester having a formula\[{{\text{C}}_{\text{5}}}{{\text{H}}_{{\text{10}}}}{{\text{O}}_{\text{2}}}\] as follows:
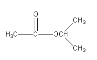
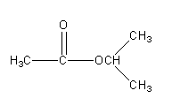
Structure I
Now we will keep \[{\text{COOC}}{{\text{H}}_{\text{3}}}\] the group fix and will write the other possible isomers.
Structure II
Now we will write the isomers having a different OR’ group.
Structure III
Structure IV
So, there are 5 isomeric esters possible having molecular formula \[{{\text{C}}_{\text{5}}}{{\text{H}}_{{\text{10}}}}{{\text{O}}_{\text{2}}}\] .
Hence, the option (B) is the correct answer to the question.
Note: Ester is one of the organic functional groups. The molecular formula of all isomers is the same only the arrangement of bonding atoms is different. Ester contains two types of alkyl groups. One alkyl group bonded to carbonyl carbon and one alkyl bonded to the oxygen atom of the carboxylate group. By varying the alkyl groups we can draw all possible isomers of ester.
Complete solution:
We have to determine the structural isomers of ester having molecular formula\[{{\text{C}}_{\text{5}}}{{\text{H}}_{{\text{10}}}}{{\text{O}}_{\text{2}}}\].
To determine the structures of isomers we have to determine the index of hydrogen deficiency (IHD) which is also known as units of unsaturation using the following formula.
\[{\text{IHD = 0}}{\text{.5}} \times {\text{[2c + 2 - h - x + n]}}\]
Where,
c = number of carbon atoms = 5
h = number of hydrogen atoms = 10
x = number of halogen atoms = 0
n = number of nitrogen atoms = 0
\[{\text{IHD = 0}}{\text{.5}} \times {\text{[2}} \times {\text{5 + 2 - 10 - 0 + 0]}}\]
\[{\text{IHD = }}\]1
This indicates that ester having molecular formula\[{{\text{C}}_{\text{5}}}{{\text{H}}_{{\text{10}}}}{{\text{O}}_{\text{2}}}\] contains one double bond of carbonyl carbon.
The general structure of ester is
Here, R and R’ are two different alkyl groups. By using a different type of alkyl groups we can draw the different isomers of ester having a formula\[{{\text{C}}_{\text{5}}}{{\text{H}}_{{\text{10}}}}{{\text{O}}_{\text{2}}}\] as follows:
Structure I
Now we will keep \[{\text{COOC}}{{\text{H}}_{\text{3}}}\] the group fix and will write the other possible isomers.
Structure II
Now we will write the isomers having a different OR’ group.
Structure III
Structure IV
So, there are 5 isomeric esters possible having molecular formula \[{{\text{C}}_{\text{5}}}{{\text{H}}_{{\text{10}}}}{{\text{O}}_{\text{2}}}\] .
Hence, the option (B) is the correct answer to the question.
Note: Ester is one of the organic functional groups. The molecular formula of all isomers is the same only the arrangement of bonding atoms is different. Ester contains two types of alkyl groups. One alkyl group bonded to carbonyl carbon and one alkyl bonded to the oxygen atom of the carboxylate group. By varying the alkyl groups we can draw all possible isomers of ester.
Recently Updated Pages
Why are manures considered better than fertilizers class 11 biology CBSE

Find the coordinates of the midpoint of the line segment class 11 maths CBSE

Distinguish between static friction limiting friction class 11 physics CBSE

The Chairman of the constituent Assembly was A Jawaharlal class 11 social science CBSE

The first National Commission on Labour NCL submitted class 11 social science CBSE

Number of all subshell of n + l 7 is A 4 B 5 C 6 D class 11 chemistry CBSE

Trending doubts
What is meant by exothermic and endothermic reactions class 11 chemistry CBSE

10 examples of friction in our daily life

One Metric ton is equal to kg A 10000 B 1000 C 100 class 11 physics CBSE

1 Quintal is equal to a 110 kg b 10 kg c 100kg d 1000 class 11 physics CBSE

Difference Between Prokaryotic Cells and Eukaryotic Cells

What are Quantum numbers Explain the quantum number class 11 chemistry CBSE

