
The major product obtained in the following reaction is:
(A)
(B)
(C)
(D)
Answer
566.1k+ views
HINT: To solve this, try to recall the working mechanism of the given reagents. Chloroform with alcoholic potassium hydroxide will lead to the formation of isocyanide from the primary amine. Remember that hydrogen, palladium make a strong reducing agent and the presence of carbon will catalyse the reaction.
COMPLETE STEP BY STEP SOLUTION: To answer this question, firstly we need to discuss the working principle of the given reagents.
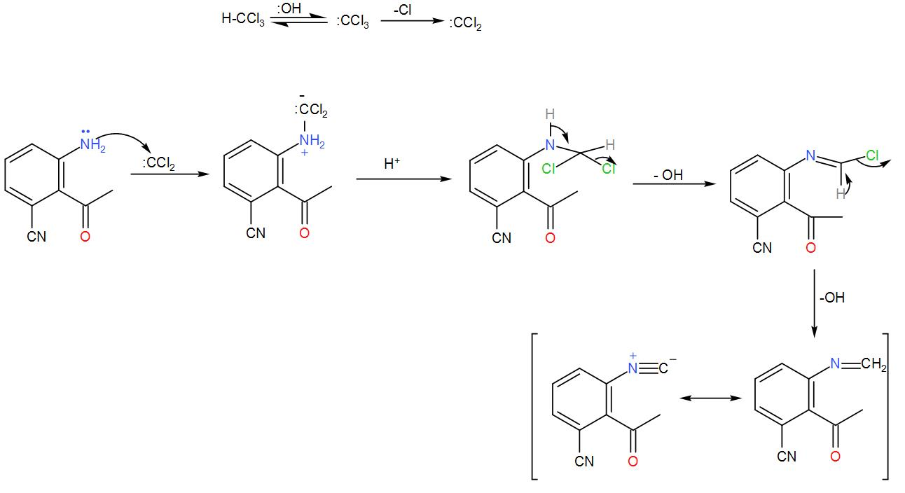
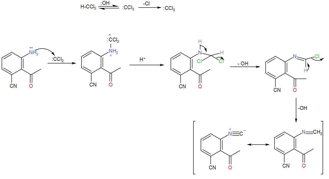
-Here, a primary amine compound is given to us. When we treat a primary amine with chloroform that is $CHC{{l}_{3}}$ in an alkaline medium in presence of alcohol potassium hydroxide, carbylamines are formed. It is also known as isocyanide and its formation is indicated by a foul smell.
-Now, let us see the reaction mechanism.
Here, at first dichlorocarbene is formed from chloroform by its dehydrohalogenation. The dichlorocarbene is added to the amine and then the base causes dehydrochlorination and eventually leads to the formation of isocyanide. We can write down the reaction as-
Now, to this we have added hydrogen and palladium. These two make a strong reducing agent and carbon catalyses the reaction. The presence of carbon makes reduction of the two groups feasible. This will reduce the cyanide group and give us a primary amine and the isocyanide will give us a secondary amine. Also, the carbonyl carbon is attacked the group is reduced to give alcohol. We can write the reaction as-
Therefore, we can understand that the correct answer is option-
NOTE: We should remember that if primary amine is present, then the reagent chloroform in alkaline medium i.e. in presence of alcoholic potassium hydroxide gives isocyanide. Isocyanide is a foul smelling compound. This is also a test for primary amines as secondary and tertiary amines do not undergo this reaction.
COMPLETE STEP BY STEP SOLUTION: To answer this question, firstly we need to discuss the working principle of the given reagents.
-Here, a primary amine compound is given to us. When we treat a primary amine with chloroform that is $CHC{{l}_{3}}$ in an alkaline medium in presence of alcohol potassium hydroxide, carbylamines are formed. It is also known as isocyanide and its formation is indicated by a foul smell.
-Now, let us see the reaction mechanism.
Here, at first dichlorocarbene is formed from chloroform by its dehydrohalogenation. The dichlorocarbene is added to the amine and then the base causes dehydrochlorination and eventually leads to the formation of isocyanide. We can write down the reaction as-
Now, to this we have added hydrogen and palladium. These two make a strong reducing agent and carbon catalyses the reaction. The presence of carbon makes reduction of the two groups feasible. This will reduce the cyanide group and give us a primary amine and the isocyanide will give us a secondary amine. Also, the carbonyl carbon is attacked the group is reduced to give alcohol. We can write the reaction as-
Therefore, we can understand that the correct answer is option-
NOTE: We should remember that if primary amine is present, then the reagent chloroform in alkaline medium i.e. in presence of alcoholic potassium hydroxide gives isocyanide. Isocyanide is a foul smelling compound. This is also a test for primary amines as secondary and tertiary amines do not undergo this reaction.
Recently Updated Pages
A man running at a speed 5 ms is viewed in the side class 12 physics CBSE

State and explain Hardy Weinbergs Principle class 12 biology CBSE

Which of the following statements is wrong a Amnion class 12 biology CBSE

Two Planoconcave lenses 1 and 2 of glass of refractive class 12 physics CBSE

The compound 2 methyl 2 butene on reaction with NaIO4 class 12 chemistry CBSE

Bacterial cell wall is made up of A Cellulose B Hemicellulose class 12 biology CBSE

Trending doubts
What are the major means of transport Explain each class 12 social science CBSE

Which are the Top 10 Largest Countries of the World?

Draw a labelled sketch of the human eye class 12 physics CBSE

Explain sex determination in humans with line diag class 12 biology CBSE

The pH of the pancreatic juice is A 64 B 86 C 120 D class 12 biology CBSE

Give 10 examples of unisexual and bisexual flowers

