
The IUPAC name of vinyl acetylene is:
A) \[Pent-1-en-4-yne\]
B) \[Pent-4-yne-1-en\]
C) \[but-1-en-3-yne\]
D) \[but-1-yn-3-ene\]
Answer
566.1k+ views
Hint: Vinyl acetylene contains one carbon-carbon double bond and one carbon-carbon triple bond.
Complete step by step answer:
Alkenes are named by replacing the suffix –ane from the name of the corresponding alkane with suffix –ene. For example, alkene containing 2 carbon atoms is named as ethene by replacing the suffix –ane from the name ethane with suffix –ene.
Alkynes are named by replacing the suffix –ane from the name of the corresponding alkane with suffix –yne. For example, alkyne containing 3 carbon atoms is named ethyne by replacing the suffix –ane from the name ethane with suffix –yne.
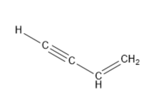
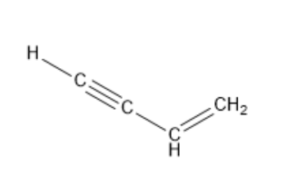
Vinyl acetylene contains four carbon atoms, one carbon-carbon double bond and one carbon-carbon triple bond. The structure of vinylacetylene is as follows:
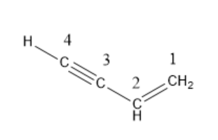
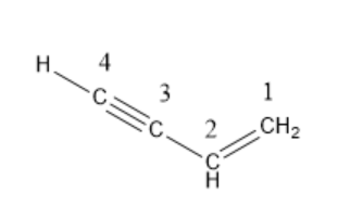
Since 4 carbon atoms are present in vinyl acetylene, the parent compound is butane. Since one carbon-carbon double bond and one carbon-carbon triple bond is present, the parent compound is butenyne. Here, the suffix –en represents a carbon-carbon double bond and a suffix –yne represents a carbon-carbon triple bond.
When multiple bonds are present, number the carbon chain from the end, which gives lowest possible locants to the carbon atoms joined by multiple bonds. A multiple bond is a double bond or a triple bond.
When both carbon-carbon double carbon-carbon and triple bonds are present in the same molecule, the carbon chain is numbered from the side which gives lowest locants to the double bonded carbon atoms.
The IUPAC name of vinyl acetylene is \[but-1-en-3-yne\].
Hence, option C is the correct answer.
Note:
Do not number the chain from the side containing carbon-carbon triple bond.When both carbon-carbon double carbon-carbon and triple bonds are present in the same molecule, the carbon chain is numbered from the side which gives lowest locants to the double bonded carbon atoms.
Complete step by step answer:
Alkenes are named by replacing the suffix –ane from the name of the corresponding alkane with suffix –ene. For example, alkene containing 2 carbon atoms is named as ethene by replacing the suffix –ane from the name ethane with suffix –ene.
Alkynes are named by replacing the suffix –ane from the name of the corresponding alkane with suffix –yne. For example, alkyne containing 3 carbon atoms is named ethyne by replacing the suffix –ane from the name ethane with suffix –yne.
Vinyl acetylene contains four carbon atoms, one carbon-carbon double bond and one carbon-carbon triple bond. The structure of vinylacetylene is as follows:
Since 4 carbon atoms are present in vinyl acetylene, the parent compound is butane. Since one carbon-carbon double bond and one carbon-carbon triple bond is present, the parent compound is butenyne. Here, the suffix –en represents a carbon-carbon double bond and a suffix –yne represents a carbon-carbon triple bond.
When multiple bonds are present, number the carbon chain from the end, which gives lowest possible locants to the carbon atoms joined by multiple bonds. A multiple bond is a double bond or a triple bond.
When both carbon-carbon double carbon-carbon and triple bonds are present in the same molecule, the carbon chain is numbered from the side which gives lowest locants to the double bonded carbon atoms.
The IUPAC name of vinyl acetylene is \[but-1-en-3-yne\].
Hence, option C is the correct answer.
Note:
Do not number the chain from the side containing carbon-carbon triple bond.When both carbon-carbon double carbon-carbon and triple bonds are present in the same molecule, the carbon chain is numbered from the side which gives lowest locants to the double bonded carbon atoms.
Recently Updated Pages
Master Class 11 Chemistry: Engaging Questions & Answers for Success

Master Class 11 Computer Science: Engaging Questions & Answers for Success

Master Class 11 Economics: Engaging Questions & Answers for Success

How many 5 digit telephone numbers can be constructed class 11 maths CBSE

Draw a well labelled diagram of reflex arc and explain class 11 biology CBSE

What is the difference between noise and music Can class 11 physics CBSE

Trending doubts
In what year Guru Nanak Dev ji was born A15 April 1469 class 11 social science CBSE

1 Quintal is equal to a 110 kg b 10 kg c 100kg d 1000 class 11 physics CBSE

10 examples of friction in our daily life

Draw a diagram of a plant cell and label at least eight class 11 biology CBSE

One Metric ton is equal to kg A 10000 B 1000 C 100 class 11 physics CBSE

Write the differences between monocot plants and dicot class 11 biology CBSE

