
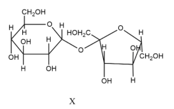
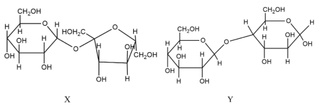
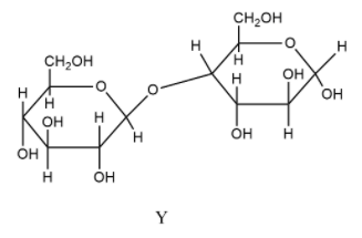
The correct statements about the following sugars X and Y are:
(A) X is a reducing sugar, Y is a non-reducing sugar.
(B) X is a non-reducing sugar, Y is a reducing sugar.
(C) The glycosidic linkages in X and Y are $\alpha $ and $\beta $ respectively.
(D) The glycosidic linkages in X and Y are $\beta $ and $\alpha $ respectively.
Answer
567.6k+ views
Hint: Think about the topic of carbohydrates. Two disaccharides are given in the question and four options are given. We need to determine whether they are reducing sugars or not. Also, we need to find out the type of glycosidic linkages present in both the sugars and then choose the correct option.
Complete answer:
- Let’s start by taking a look at the given compounds, X and Y.
- A carbohydrate is said to be a reducing sugar if the carbon at first position contains a free hydroxyl group (-OH) attached to it. If at C-1 position, a free hydroxyl group is absent then the sugar is a non-reducing sugar.
- To find out the type of linkage present in the disaccharide, we need to check the monosaccharide of which C-1 position is forming the linkage. If the monosaccharide is $\alpha $ then the linkage is said to be $\alpha $-linkage and if the monosaccharide is $\beta $ then the linkage is said to be $\beta $-linkage.
- Now, let’s see the compounds X and Y one by one.
- In X, there are no free hydroxyl groups present and so, this is a non-reducing sugar. The monosaccharide forming the linkage is glucose which is present as $\alpha $-glucose. Therefore, an $\alpha $-linkage is formed.
- In Y, there is one free hydroxyl group present , so this is a reducing sugar. The monosaccharide forming the linkage is glucose which is present as $\beta $-glucose. Therefore, an $\beta $-linkage is formed.
- Therefore, X is a non-reducing sugar, Y is a reducing sugar and the glycosidic linkages in X and Y are $\alpha $ and $\beta $ respectively.
Therefore, the correct statements are option (B) and (C).
Note:
Remember for a sugar to be classified as a reducing sugar, at least one free hydroxyl group must be present at C-1 position. If no free hydroxyl groups are present then the sugar is a non-reducing sugar. If the C-1 atom of the monosaccharide forming the linkage is an $\alpha $-anomer then the linkage will be $\alpha $-linkage and if the C-1 atom of the monosaccharide forming the linkage is a $\beta $-anomer then the linkage will be $\beta $-linkage.
Complete answer:
- Let’s start by taking a look at the given compounds, X and Y.
- A carbohydrate is said to be a reducing sugar if the carbon at first position contains a free hydroxyl group (-OH) attached to it. If at C-1 position, a free hydroxyl group is absent then the sugar is a non-reducing sugar.
- To find out the type of linkage present in the disaccharide, we need to check the monosaccharide of which C-1 position is forming the linkage. If the monosaccharide is $\alpha $ then the linkage is said to be $\alpha $-linkage and if the monosaccharide is $\beta $ then the linkage is said to be $\beta $-linkage.
- Now, let’s see the compounds X and Y one by one.
- In X, there are no free hydroxyl groups present and so, this is a non-reducing sugar. The monosaccharide forming the linkage is glucose which is present as $\alpha $-glucose. Therefore, an $\alpha $-linkage is formed.
- In Y, there is one free hydroxyl group present , so this is a reducing sugar. The monosaccharide forming the linkage is glucose which is present as $\beta $-glucose. Therefore, an $\beta $-linkage is formed.
- Therefore, X is a non-reducing sugar, Y is a reducing sugar and the glycosidic linkages in X and Y are $\alpha $ and $\beta $ respectively.
Therefore, the correct statements are option (B) and (C).
Note:
Remember for a sugar to be classified as a reducing sugar, at least one free hydroxyl group must be present at C-1 position. If no free hydroxyl groups are present then the sugar is a non-reducing sugar. If the C-1 atom of the monosaccharide forming the linkage is an $\alpha $-anomer then the linkage will be $\alpha $-linkage and if the C-1 atom of the monosaccharide forming the linkage is a $\beta $-anomer then the linkage will be $\beta $-linkage.
Recently Updated Pages
A man running at a speed 5 ms is viewed in the side class 12 physics CBSE

The number of solutions in x in 02pi for which sqrt class 12 maths CBSE

State and explain Hardy Weinbergs Principle class 12 biology CBSE

Write any two methods of preparation of phenol Give class 12 chemistry CBSE

Which of the following statements is wrong a Amnion class 12 biology CBSE

Differentiate between action potential and resting class 12 biology CBSE

Trending doubts
What are the major means of transport Explain each class 12 social science CBSE

Which are the Top 10 Largest Countries of the World?

Draw a labelled sketch of the human eye class 12 physics CBSE

Explain sex determination in humans with line diag class 12 biology CBSE

Explain sex determination in humans with the help of class 12 biology CBSE

Differentiate between homogeneous and heterogeneous class 12 chemistry CBSE

