
$q,2q,3q\;$ and $4q\;$ charges at the four corners $A,B,C\;$ and $D$ of a square. The field at the centre $P$ of the square has the direction along
A. $AB\;$
B. $CB\;$
C. $AC\;$
D. $BD\;$
Answer
558.9k+ views
Hint: The space surrounding a charge where another charge can experience a force is known as the electric field. The intensity of the electrical field at any point is defined as the force experienced by a unit test charge placed at that point. Here we have to find the direction of the electric field at the point $P$ at the centre of the square.
Formula used:$E = \dfrac{{kQ}}{{{r^2}}}$
Where $E$ stands for the electric field at a particular point, $k = \dfrac{1}{{4\pi {\varepsilon _0}}}$ is a constant, $Q$ stands for the charge and $r$ stands for the distance between the charge and the point where we have to find the electric field.
Complete step by step answer:
The direction of the electric field at the point $P$ due to the four charges is as shown in the figure below
The diagonal of the square can be obtained as shown below
If $R$ is the length of the side of the square, then considering the right angled triangle as shown in the figure, the diagonal will be,
$d = \sqrt {{R^2} + {R^2}} = \sqrt {2{R^2}} = \sqrt 2 R$
The distance between each charge and the point $P$ will be the half of this diagonal.
That is,
$r = \dfrac{{\sqrt 2 R}}{2} = \dfrac{R}{{\sqrt 2 }}$
Now, we can write the electric fields as,
${E_{4q}} = \dfrac{{4kq}}{{{{\left( {\dfrac{R}{{\sqrt 2 }}} \right)}^2}}}$
For the charge $3q\;$ the electric field will be,
${E_{3q}} = \dfrac{{3kq}}{{{{\left( {\dfrac{R}{{\sqrt 2 }}} \right)}^2}}}$
The electric field for the charge $2q\;$ can be written as,
${E_{2q}} = \dfrac{{2kq}}{{{{\left( {\dfrac{R}{{\sqrt 2 }}} \right)}^2}}}$
The electric field for the charge $q$ can be written as,
${E_q} = \dfrac{{kq}}{{{{\left( {\dfrac{R}{{\sqrt 2 }}} \right)}^2}}}$
The resultant of this electric fields can be represented by the below diagram,
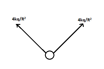
Now the resultant of ${E_{4q}} - {E_{2q}}$ can be written as,
${E_{4q}} - {E_{2q}} = \dfrac{{4kq}}{{{{\left( {\dfrac{R}{{\sqrt 2 }}} \right)}^2}}} - \dfrac{{2kq}}{{{{\left( {\dfrac{R}{{\sqrt 2 }}} \right)}^2}}}$
This can be written as,
${E_{4q}} - {E_{2q}} = \dfrac{{2kq}}{{\dfrac{{{R^2}}}{2}}} = \dfrac{{4kq}}{{{R^2}}}$
The resultant of ${E_{3q}} - {E_q}$ can be written as,
${E_{3q}} - {E_q} = \dfrac{{3kq}}{{{{\left( {\dfrac{R}{{\sqrt 2 }}} \right)}^2}}} - \dfrac{{kq}}{{{{\left( {\dfrac{R}{{\sqrt 2 }}} \right)}^2}}}$
This can be written as,
${E_{3q}} - {E_q} = \dfrac{{2kq}}{{\dfrac{{{R^2}}}{2}}} = \dfrac{{4kq}}{{{R^2}}}$
This can be represented as,
The resultant of these two vectors can be shown as,
The magnitude of this resultant will be
${{E}_{res}}=2\times \frac{4kq\cos {{45}^{\circ }}}{{{R}^{2}}}=\frac{4\sqrt{2}kq}{{{R}^{2}}}$ $\left( \because \cos {{45}^{\circ }}=\frac{1}{\sqrt{2}} \right)$
The direction of the resultant electric field is along the direction of $CB\;$
Therefore, the correct answer is Option (B): $CB\;$
Note: The principle of superposition states that the resultant forces acting on a charge in a system of charges is the vector sum of the forces acting on the charge due to all other individual charges in the system. The direction of the force line gives the direction of the electric field.
Formula used:$E = \dfrac{{kQ}}{{{r^2}}}$
Where $E$ stands for the electric field at a particular point, $k = \dfrac{1}{{4\pi {\varepsilon _0}}}$ is a constant, $Q$ stands for the charge and $r$ stands for the distance between the charge and the point where we have to find the electric field.
Complete step by step answer:
The direction of the electric field at the point $P$ due to the four charges is as shown in the figure below
The diagonal of the square can be obtained as shown below
If $R$ is the length of the side of the square, then considering the right angled triangle as shown in the figure, the diagonal will be,
$d = \sqrt {{R^2} + {R^2}} = \sqrt {2{R^2}} = \sqrt 2 R$
The distance between each charge and the point $P$ will be the half of this diagonal.
That is,
$r = \dfrac{{\sqrt 2 R}}{2} = \dfrac{R}{{\sqrt 2 }}$
Now, we can write the electric fields as,
${E_{4q}} = \dfrac{{4kq}}{{{{\left( {\dfrac{R}{{\sqrt 2 }}} \right)}^2}}}$
For the charge $3q\;$ the electric field will be,
${E_{3q}} = \dfrac{{3kq}}{{{{\left( {\dfrac{R}{{\sqrt 2 }}} \right)}^2}}}$
The electric field for the charge $2q\;$ can be written as,
${E_{2q}} = \dfrac{{2kq}}{{{{\left( {\dfrac{R}{{\sqrt 2 }}} \right)}^2}}}$
The electric field for the charge $q$ can be written as,
${E_q} = \dfrac{{kq}}{{{{\left( {\dfrac{R}{{\sqrt 2 }}} \right)}^2}}}$
The resultant of this electric fields can be represented by the below diagram,
Now the resultant of ${E_{4q}} - {E_{2q}}$ can be written as,
${E_{4q}} - {E_{2q}} = \dfrac{{4kq}}{{{{\left( {\dfrac{R}{{\sqrt 2 }}} \right)}^2}}} - \dfrac{{2kq}}{{{{\left( {\dfrac{R}{{\sqrt 2 }}} \right)}^2}}}$
This can be written as,
${E_{4q}} - {E_{2q}} = \dfrac{{2kq}}{{\dfrac{{{R^2}}}{2}}} = \dfrac{{4kq}}{{{R^2}}}$
The resultant of ${E_{3q}} - {E_q}$ can be written as,
${E_{3q}} - {E_q} = \dfrac{{3kq}}{{{{\left( {\dfrac{R}{{\sqrt 2 }}} \right)}^2}}} - \dfrac{{kq}}{{{{\left( {\dfrac{R}{{\sqrt 2 }}} \right)}^2}}}$
This can be written as,
${E_{3q}} - {E_q} = \dfrac{{2kq}}{{\dfrac{{{R^2}}}{2}}} = \dfrac{{4kq}}{{{R^2}}}$
This can be represented as,
The resultant of these two vectors can be shown as,
The magnitude of this resultant will be
${{E}_{res}}=2\times \frac{4kq\cos {{45}^{\circ }}}{{{R}^{2}}}=\frac{4\sqrt{2}kq}{{{R}^{2}}}$ $\left( \because \cos {{45}^{\circ }}=\frac{1}{\sqrt{2}} \right)$
The direction of the resultant electric field is along the direction of $CB\;$
Therefore, the correct answer is Option (B): $CB\;$
Note: The principle of superposition states that the resultant forces acting on a charge in a system of charges is the vector sum of the forces acting on the charge due to all other individual charges in the system. The direction of the force line gives the direction of the electric field.
Recently Updated Pages
Master Class 12 Economics: Engaging Questions & Answers for Success

Master Class 12 Physics: Engaging Questions & Answers for Success

Master Class 12 English: Engaging Questions & Answers for Success

Master Class 12 Social Science: Engaging Questions & Answers for Success

Master Class 12 Maths: Engaging Questions & Answers for Success

Master Class 12 Business Studies: Engaging Questions & Answers for Success

Trending doubts
Why cannot DNA pass through cell membranes class 12 biology CBSE

Differentiate between insitu conservation and exsitu class 12 biology CBSE

Draw a neat and well labeled diagram of TS of ovary class 12 biology CBSE

In a human foetus the limbs and digits develop after class 12 biology CBSE

AABbCc genotype forms how many types of gametes a 4 class 12 biology CBSE

The correct structure of ethylenediaminetetraacetic class 12 chemistry CBSE

