
Name the compound
$C{H_3} - CH = CH - C{H_3}$
Answer
575.4k+ views
Hint: This is the example of unsaturated hydrocarbons. Unsaturated hydrocarbons are hydrocarbons that have double or triple covalent bonds between adjacent carbon atoms. The term unsaturated means more hydrogen atoms may be added to the hydrocarbons to make it saturated.
Complete step by step answer:
$C{H_3} - CH = CH - C{H_3}$
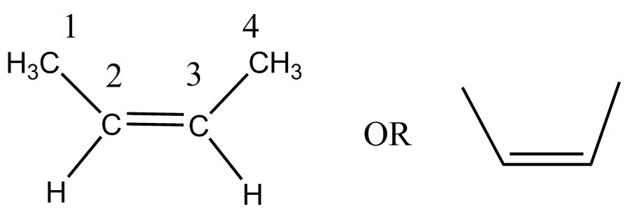
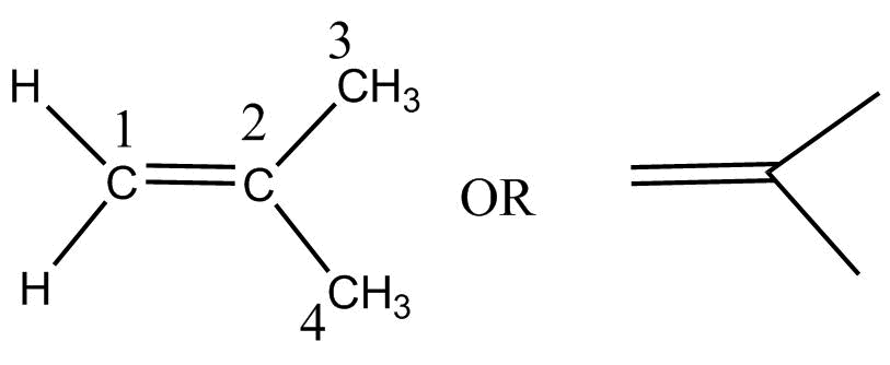
This is a But-2-ene compound. It is named so because it has a double bond on the second carbon atom .
(1) The chemical formula for butane is: ${C_4}{H_8}$ which means it is made up of four carbon atoms and eight hydrogen atoms. The $ene$ part of the name refers to an alkene. So we know that butane’s structure must include a carbon double bond.
(2) There are several different isomers or molecular structures, that this compound can form:
Additional information:
The relationships between each of these isomers are mostly constitutional, which means they have the same molecular formula but have different bond connections (Order).
Meaning to transform them, you would have to just move around the hydrogen and carbons in other words the atoms and functional groups.
Note:
These isomers of butane are made up from the same materials, they each have different properties.
With cis-beta-butylene and trans-beta-butylene the atoms are in the same order, but the polarities are not same . The $cis$ isomer is polar, with both $C{H_3}$ groups on the same side. This makes it really bulky and difficult to stack.
Complete step by step answer:
$C{H_3} - CH = CH - C{H_3}$
This is a But-2-ene compound. It is named so because it has a double bond on the second carbon atom .
(1) The chemical formula for butane is: ${C_4}{H_8}$ which means it is made up of four carbon atoms and eight hydrogen atoms. The $ene$ part of the name refers to an alkene. So we know that butane’s structure must include a carbon double bond.
(2) There are several different isomers or molecular structures, that this compound can form:
Alpha-butylene $\left( {but - 1 - ene} \right)$
$C$ is beta-butylene- $\left( {\left( {2z} \right) - but - 2 - ene} \right)$
Trans-beta-butylene- $\left( {\left( {2E} \right) - but - 2ene} \right)$
Iso butylene $\left( {2 - methylprop - 1 - ene} \right)$
Additional information:
The relationships between each of these isomers are mostly constitutional, which means they have the same molecular formula but have different bond connections (Order).
Meaning to transform them, you would have to just move around the hydrogen and carbons in other words the atoms and functional groups.
Note:
These isomers of butane are made up from the same materials, they each have different properties.
With cis-beta-butylene and trans-beta-butylene the atoms are in the same order, but the polarities are not same . The $cis$ isomer is polar, with both $C{H_3}$ groups on the same side. This makes it really bulky and difficult to stack.
Recently Updated Pages
The number of solutions in x in 02pi for which sqrt class 12 maths CBSE

Write any two methods of preparation of phenol Give class 12 chemistry CBSE

Differentiate between action potential and resting class 12 biology CBSE

Two plane mirrors arranged at right angles to each class 12 physics CBSE

Which of the following molecules is are chiral A I class 12 chemistry CBSE

Name different types of neurons and give one function class 12 biology CBSE

Trending doubts
Which are the Top 10 Largest Countries of the World?

What are the major means of transport Explain each class 12 social science CBSE

Draw a labelled sketch of the human eye class 12 physics CBSE

Differentiate between insitu conservation and exsitu class 12 biology CBSE

State the principle of an ac generator and explain class 12 physics CBSE

Differentiate between homogeneous and heterogeneous class 12 chemistry CBSE

