
In which biochemical form does the photosynthate moves in phloem tissue?
Answer
493.8k+ views
Hint: Photosynthesis is the process by which the light energy is converted into chemical energy by the plants. The chemical energy produced by photosynthesis is glucose. It is the immediate source of energy. Glucose on oxidation releases ATP which is the utilisable form of energy.
Complete answer:
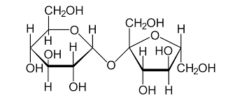
The prepared food that is the glucose is conducted from the leaves to all the parts of the plant through the vascular tissue called the phloem. The phloem sap comprises sugars, vitamins, organic and inorganic acids, amino acids and most importantly sucrose. It is the form in which the photosynthetic by-product is transported in the phloem. The phloem sap flows from the sugar reserve to the sugar sink. Sucrose is a dimer that comprises glucose and fructose. The hydrolysis of sucrose yields glucose and fructose.
Additional information: The phloem sap is rich in several nutrients. It is considered a dominant diet for many animals. Some organisms directly feed on the same, some forms a parasitic relationship with the host and the others form a symbiotic relationship with the plants. The phloem sap is very important for humans. Example maple syrup is widely consumed. Palm syrup is used worldwide as a favourite food.
Thus we can say that the glucose is transported as sucrose in the phloem tissue.
Note: Sucrose is produced naturally in the plants. It is refined to produce table sugar. Sugar is used as a sweetener. The sucrose leads to tooth decay as Streptococcus mutans feed on sucrose which causes tooth decay. Bacteria used sucrose to form stick polysaccharides.
Complete answer:
The prepared food that is the glucose is conducted from the leaves to all the parts of the plant through the vascular tissue called the phloem. The phloem sap comprises sugars, vitamins, organic and inorganic acids, amino acids and most importantly sucrose. It is the form in which the photosynthetic by-product is transported in the phloem. The phloem sap flows from the sugar reserve to the sugar sink. Sucrose is a dimer that comprises glucose and fructose. The hydrolysis of sucrose yields glucose and fructose.
Additional information: The phloem sap is rich in several nutrients. It is considered a dominant diet for many animals. Some organisms directly feed on the same, some forms a parasitic relationship with the host and the others form a symbiotic relationship with the plants. The phloem sap is very important for humans. Example maple syrup is widely consumed. Palm syrup is used worldwide as a favourite food.
Thus we can say that the glucose is transported as sucrose in the phloem tissue.
Note: Sucrose is produced naturally in the plants. It is refined to produce table sugar. Sugar is used as a sweetener. The sucrose leads to tooth decay as Streptococcus mutans feed on sucrose which causes tooth decay. Bacteria used sucrose to form stick polysaccharides.
Recently Updated Pages
Master Class 9 General Knowledge: Engaging Questions & Answers for Success

Master Class 9 Social Science: Engaging Questions & Answers for Success

Master Class 9 English: Engaging Questions & Answers for Success

Master Class 9 Maths: Engaging Questions & Answers for Success

Master Class 9 Science: Engaging Questions & Answers for Success

Class 9 Question and Answer - Your Ultimate Solutions Guide

Trending doubts
Difference Between Plant Cell and Animal Cell

Fill the blanks with the suitable prepositions 1 The class 9 english CBSE

Who is eligible for RTE class 9 social science CBSE

Which places in India experience sunrise first and class 9 social science CBSE

What is pollution? How many types of pollution? Define it

Name 10 Living and Non living things class 9 biology CBSE

