
In the given diagram, each box represents a function machine. A function machine illustrates what it does with the input.
Which of the following statements are correct?
A. $ z = 2x + 3 $
B. $ z = 2\left( {x + 3} \right) $
C. $ z = \sqrt {2x + 3} $
D. $ z = \sqrt {2\left( {x + 3} \right)} $
Answer
498k+ views
Hint: The stages of the block diagram of the function machine needs to be followed to determine the answer. The instructions given by the function machine are performed in order to get the answer as the output.
Complete step-by-step answer:
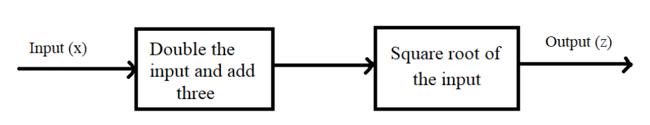
The above problem revolves around the concept of function diagrams. Let us first look into the concept of function diagrams.
Function diagrams are ones that provide rules using a block diagram or a flow diagram which follows the same principle as that of a function. A function is one that takes in an input, processes it and produces an output which is what happens in the above problem as well. It is thought of as a machine which transforms data to get a desired output from a given input.
The same concept applied here as well. We can see here that an input denoted by $ x $ is fed in and processed using a function machine to give an output. The above diagram is known to be a block diagram which specifies rules or instructions that should be performed in the processing stage by the function machine in order to convert the input into the output form. The arrows indicate the direction of flow of data.
The whole process is broken down into a series of smaller steps to get the final output. This is why two function machines are attached together in order to get the final output denoted by $ z $ . A point to note here is that the input and output values are said to be the same as the output is just the converted version of the input.
Let us now look at the first stage of this flow diagram, that is, the first function machine of the flow diagram.
We can see that we are asked to double the input value first and then add three to the doubled input. Hence this can be done in this way:
$ y = 2x + 3 $ ------------( $ 1 $ )
Here, $ y $ represents the output of the first function machine obtained from the input that was given, that is, $ x $ . This output is said to be the input for the next function machine.
Now, this output is given as the input to the second function machine. Since this input is going through another function machine it is said to get transformed or processed again to get the desired output.
The second function machine gives the instruction that we need to perform the square root operation on the input that is fed inside. Hence this can be given as:
$ z = \sqrt y $
However $ y $ is equivalent to the value given in equation ( $ 1 $ ). Hence we have:
$ z = \sqrt {2x + 3} $
Hence the final output will be equal to $ z = \sqrt {2x + 3} $
Therefore, the correct option is option C).
So, the correct answer is “Option C”.
Note: The common error which can be made is in interpreting the rule that needs to be performed mentioned by the function machine and hence the wrong option may be chosen. For example the option D) may be chosen which is incorrect. Instead of first doubling the input $ x $ , there is a possibility to add three first then double the obtained value. In mathematics, function machines are used to solve linear equations in a simpler manner.
Complete step-by-step answer:
The above problem revolves around the concept of function diagrams. Let us first look into the concept of function diagrams.
Function diagrams are ones that provide rules using a block diagram or a flow diagram which follows the same principle as that of a function. A function is one that takes in an input, processes it and produces an output which is what happens in the above problem as well. It is thought of as a machine which transforms data to get a desired output from a given input.
The same concept applied here as well. We can see here that an input denoted by $ x $ is fed in and processed using a function machine to give an output. The above diagram is known to be a block diagram which specifies rules or instructions that should be performed in the processing stage by the function machine in order to convert the input into the output form. The arrows indicate the direction of flow of data.
The whole process is broken down into a series of smaller steps to get the final output. This is why two function machines are attached together in order to get the final output denoted by $ z $ . A point to note here is that the input and output values are said to be the same as the output is just the converted version of the input.
Let us now look at the first stage of this flow diagram, that is, the first function machine of the flow diagram.
We can see that we are asked to double the input value first and then add three to the doubled input. Hence this can be done in this way:
$ y = 2x + 3 $ ------------( $ 1 $ )
Here, $ y $ represents the output of the first function machine obtained from the input that was given, that is, $ x $ . This output is said to be the input for the next function machine.
Now, this output is given as the input to the second function machine. Since this input is going through another function machine it is said to get transformed or processed again to get the desired output.
The second function machine gives the instruction that we need to perform the square root operation on the input that is fed inside. Hence this can be given as:
$ z = \sqrt y $
However $ y $ is equivalent to the value given in equation ( $ 1 $ ). Hence we have:
$ z = \sqrt {2x + 3} $
Hence the final output will be equal to $ z = \sqrt {2x + 3} $
Therefore, the correct option is option C).
So, the correct answer is “Option C”.
Note: The common error which can be made is in interpreting the rule that needs to be performed mentioned by the function machine and hence the wrong option may be chosen. For example the option D) may be chosen which is incorrect. Instead of first doubling the input $ x $ , there is a possibility to add three first then double the obtained value. In mathematics, function machines are used to solve linear equations in a simpler manner.
Recently Updated Pages
Sam invested Rs15000 at 10 per annum for one year If class 8 maths CBSE

Magesh invested 5000 at 12 pa for one year If the interest class 8 maths CBSE

Arnavs father is 49 years old He is nine years older class 8 maths CBSE

2 pipes running together can fill a cistern in 6 minutes class 8 maths CBSE

If a man were to sell his handcart for Rs720 he would class 8 maths CBSE

By using the formula find the amount and compound interest class 8 maths CBSE

Trending doubts
What is BLO What is the full form of BLO class 8 social science CBSE

Citizens of India can vote at the age of A 18 years class 8 social science CBSE

What are the 12 elements of nature class 8 chemistry CBSE

Give me the opposite gender of Duck class 8 english CBSE

Application to your principal for the character ce class 8 english CBSE

Full form of STD, ISD and PCO


