
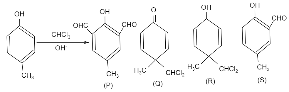
In the following reaction, the product(s) formed is (are):
A. P(major)
B. Q(minor)
C. R(minor)
D. S(major)
Answer
568.5k+ views
Hint: The given questions about the major and minor products formed after reaction. So, to get the appropriate answer for the question, we have to consider the Riemer Tiemann reaction mechanism. So, look upon what happens when the compound given undergoes this reaction and see what are the products formed.
Complete step by step answer:
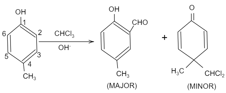
As per the given question, the compound given is named as $4$-methyl phenol and it is being reacted with $CHC{{l}_{3}}$ and $O{{H}^{-}}$. So, before proceeding to find what are the products formed, let us look upon what is Riemer Tiemann reaction.
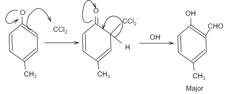
Riemer Tiemann reaction is a type of substitution reaction, which is named after chemists Karl Reimer and Ferdinand Tiemann. The reaction is usually used for the ortho-formylation of phenols.
So, when phenols i.e. ${{C}_{6}}{{H}_{5}}OH$ is treated with chloroform i.e. $CHC{{l}_{3}}$ in the presence of $NaOH$(sodium hydroxide), an aldehyde group ($-CHO$) is introduced at the ortho position of the benzene ring leading to the formation of o-hydroxybenzaldehyde as the major product. And this reaction is popularly known as the Reimer Tiemann reaction.
So, here in the given question, when $4$-methyl phenol reacts with chloroform i.e. $CHC{{l}_{3}}$ and sodium hydroxide having hydroxyl ion, i.e. $O{{H}^{-}}$, an aldehyde group will be attached to the ortho position of the compound due to ortho-formylation of the compound. This product is the major product and it is named as $2-hydroxy-5-methyl-benzaldehyde$. While. We should also see that there is significant charge density at the fourth position of the compound, so there will be an attack of the nucleophile at the fourth position, forming the minor product.
The products formed are Q as minor and S as minor.
So, the correct answer is “Option B and D”.
Note: Remember, the Reimer Tiemann reaction is used for the ortho formylation of the phenols. It is effective for other hydroxy-aromatic compounds, such as naphthols, etc. Electron rich heterocycles such as pyrroles also react using this mechanism.
Complete step by step answer:
As per the given question, the compound given is named as $4$-methyl phenol and it is being reacted with $CHC{{l}_{3}}$ and $O{{H}^{-}}$. So, before proceeding to find what are the products formed, let us look upon what is Riemer Tiemann reaction.
Riemer Tiemann reaction is a type of substitution reaction, which is named after chemists Karl Reimer and Ferdinand Tiemann. The reaction is usually used for the ortho-formylation of phenols.
So, when phenols i.e. ${{C}_{6}}{{H}_{5}}OH$ is treated with chloroform i.e. $CHC{{l}_{3}}$ in the presence of $NaOH$(sodium hydroxide), an aldehyde group ($-CHO$) is introduced at the ortho position of the benzene ring leading to the formation of o-hydroxybenzaldehyde as the major product. And this reaction is popularly known as the Reimer Tiemann reaction.
So, here in the given question, when $4$-methyl phenol reacts with chloroform i.e. $CHC{{l}_{3}}$ and sodium hydroxide having hydroxyl ion, i.e. $O{{H}^{-}}$, an aldehyde group will be attached to the ortho position of the compound due to ortho-formylation of the compound. This product is the major product and it is named as $2-hydroxy-5-methyl-benzaldehyde$. While. We should also see that there is significant charge density at the fourth position of the compound, so there will be an attack of the nucleophile at the fourth position, forming the minor product.
The products formed are Q as minor and S as minor.
So, the correct answer is “Option B and D”.
Note: Remember, the Reimer Tiemann reaction is used for the ortho formylation of the phenols. It is effective for other hydroxy-aromatic compounds, such as naphthols, etc. Electron rich heterocycles such as pyrroles also react using this mechanism.
Recently Updated Pages
A man running at a speed 5 ms is viewed in the side class 12 physics CBSE

State and explain Hardy Weinbergs Principle class 12 biology CBSE

Which of the following statements is wrong a Amnion class 12 biology CBSE

Two Planoconcave lenses 1 and 2 of glass of refractive class 12 physics CBSE

The compound 2 methyl 2 butene on reaction with NaIO4 class 12 chemistry CBSE

Bacterial cell wall is made up of A Cellulose B Hemicellulose class 12 biology CBSE

Trending doubts
Explain sex determination in humans with line diag class 12 biology CBSE

The pH of the pancreatic juice is A 64 B 86 C 120 D class 12 biology CBSE

Which prominent US inventor was known as the Wizard class 12 social science CBSE

Which state in India is known as the Granary of India class 12 social science CBSE

Draw a ray diagram of compound microscope when the class 12 physics CBSE

When was the first election held in India a 194748 class 12 sst CBSE

