
Explain the following with suitable examples
(i).Clemmensen Reduction
(ii).Stephen reaction
Answer
504.6k+ views
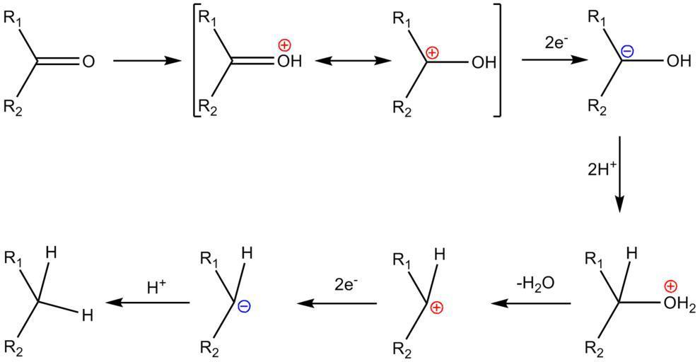
Hint: The Clemmensen reduction is a reaction that uses hydrochloric acid and zinc amalgam to convert aldehydes or ketones to alkanes. The Clemmensen reduction is named after Erik Christian Clemmensen, a Danish chemist.
In Stephen reaction, When nitrile is reduced with stannous chloride and hydrogen chloride steam, an imine intermediate is formed, as seen above (in ethyl acetate solvent). The resulting aldehyde is obtained by hydrolysis of this imine intermediate.
Complete answer:
Clemmensen Reduction
The Clemmensen reduction is a reaction that uses hydrochloric acid and zinc amalgam to convert aldehydes or ketones to alkanes. The Clemmensen reduction is named after Erik Christian Clemmensen, a Danish chemist.
This reaction is especially useful for reducing aryl-alkyl ketones generated by Friedel-Crafts acylation. In the reduction of cyclic ketones or aliphatic and zinc metal, the reaction is more successful.
Stephen Reaction
The Addition of Gaseous Hydrogen Chloride to the Given Nitrile Starts the Stephen Reaction Mechanism. Henry Stephen, the reaction's inventor, was given the name Stephen aldehyde synthesis. The reaction entails the formation of aldehydes from nitriles using tin(II) chloride and hydrochloric acid, followed by the quenching of the iminium salt with water. Another useful byproduct of this reaction is ammonium chloride.
The Stephan reaction is used to generate acetaldehyde from methyl cyanide, as seen in the diagram below.
\[C{H_3}CN + 2{H^ + }\xrightarrow[{HCl}]{{SnC{l_2}}}C{H_3} - CH - NH\xrightarrow{{{H_2}O}}N{H_3} + C{H_3}CHO\]
When nitrile is reduced with stannous chloride and hydrogen chloride steam, an imine intermediate is formed, as seen above (in ethyl acetate solvent). The resulting aldehyde is obtained by hydrolysis of this imine intermediate.
Note:
The Clemmensen reduction is a reaction that uses hydrochloric acid and zinc amalgam to convert aldehydes or ketones to alkanes. The Clemmensen reduction is named after Erik Christian Clemmensen, a Danish chemist.
In Stephen reaction, When nitrile is reduced with stannous chloride and hydrogen chloride steam, an imine intermediate is formed, as seen above (in ethyl acetate solvent). The resulting aldehyde is obtained by hydrolysis of this imine intermediate.
In Stephen reaction, When nitrile is reduced with stannous chloride and hydrogen chloride steam, an imine intermediate is formed, as seen above (in ethyl acetate solvent). The resulting aldehyde is obtained by hydrolysis of this imine intermediate.
Complete answer:
Clemmensen Reduction
The Clemmensen reduction is a reaction that uses hydrochloric acid and zinc amalgam to convert aldehydes or ketones to alkanes. The Clemmensen reduction is named after Erik Christian Clemmensen, a Danish chemist.
This reaction is especially useful for reducing aryl-alkyl ketones generated by Friedel-Crafts acylation. In the reduction of cyclic ketones or aliphatic and zinc metal, the reaction is more successful.
Stephen Reaction
The Addition of Gaseous Hydrogen Chloride to the Given Nitrile Starts the Stephen Reaction Mechanism. Henry Stephen, the reaction's inventor, was given the name Stephen aldehyde synthesis. The reaction entails the formation of aldehydes from nitriles using tin(II) chloride and hydrochloric acid, followed by the quenching of the iminium salt with water. Another useful byproduct of this reaction is ammonium chloride.
The Stephan reaction is used to generate acetaldehyde from methyl cyanide, as seen in the diagram below.
\[C{H_3}CN + 2{H^ + }\xrightarrow[{HCl}]{{SnC{l_2}}}C{H_3} - CH - NH\xrightarrow{{{H_2}O}}N{H_3} + C{H_3}CHO\]
When nitrile is reduced with stannous chloride and hydrogen chloride steam, an imine intermediate is formed, as seen above (in ethyl acetate solvent). The resulting aldehyde is obtained by hydrolysis of this imine intermediate.
Note:
The Clemmensen reduction is a reaction that uses hydrochloric acid and zinc amalgam to convert aldehydes or ketones to alkanes. The Clemmensen reduction is named after Erik Christian Clemmensen, a Danish chemist.
In Stephen reaction, When nitrile is reduced with stannous chloride and hydrogen chloride steam, an imine intermediate is formed, as seen above (in ethyl acetate solvent). The resulting aldehyde is obtained by hydrolysis of this imine intermediate.
Recently Updated Pages
Why are manures considered better than fertilizers class 11 biology CBSE

Find the coordinates of the midpoint of the line segment class 11 maths CBSE

Distinguish between static friction limiting friction class 11 physics CBSE

The Chairman of the constituent Assembly was A Jawaharlal class 11 social science CBSE

The first National Commission on Labour NCL submitted class 11 social science CBSE

Number of all subshell of n + l 7 is A 4 B 5 C 6 D class 11 chemistry CBSE

Trending doubts
What is meant by exothermic and endothermic reactions class 11 chemistry CBSE

10 examples of friction in our daily life

One Metric ton is equal to kg A 10000 B 1000 C 100 class 11 physics CBSE

1 Quintal is equal to a 110 kg b 10 kg c 100kg d 1000 class 11 physics CBSE

Difference Between Prokaryotic Cells and Eukaryotic Cells

What are Quantum numbers Explain the quantum number class 11 chemistry CBSE

