
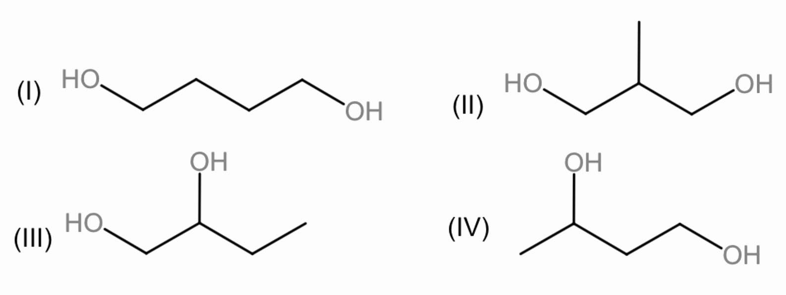
Diols (I-IV) which react with \[Cr{{O}_{3}}\] in aqueous \[{{H}_{2}}S{{O}_{4}}\] and yield products that
readily undergo decarboxylation on heating, are:
a.) I and II
b.) II and III
c.) II and IV
d.) I and IV
Answer
581.7k+ views
Hint: \[Cr{{O}_{3}}\] along with \[{{H}_{2}}S{{O}_{4}}\] is used in the oxidation of primary alcohols to acid, secondary alcohols, that do not contain acid sensitive groups, to corresponding ketones and also the oxidation of primary allylic and benzylic alcohols gives aldehydes.
Complete step by step solution: Primary alcohols are those alcohols where the carbon atom of the hydroxyl group (OH) is attached to only one single alkyl group, similarly secondary alcohol is a compound in which a hydroxyl group (OH), is attached to a carbon atom which has two other carbon atoms attached to it.
In the given diagram the primary alcohols are I and II whereas III and IV are having both primary and secondary alcohols.
Now the \[Cr{{O}_{3}}\] will oxidize the primary alcohols to acids and the secondary to ketones.
Decarboxylation is a chemical reaction that removes a carboxyl group and releases carbon dioxide. Usually, decarboxylation refers to a reaction of carboxylic acids, removing a carbon atom from a carbon chain. Decarboxylation occurs in the keto-acid groups.
Now, in figure I, the alcohols will be oxidized to carboxylic acids at primary positions, \[C{{O}_{2}}\] will be released and the decarboxylation can be done easily, but none of them are at beta-position. Therefore, decarboxylation will not take place.
Similarly, in Figure II, alcohols will be oxidized into carboxylic acids, and both of them are present at beta-position to each other, thus, decarboxylation will take place.
In Figure III, one alcohol will be oxidized to carboxylic acid and the other to ketone but they are present at alpha positions, thus, decarboxylation will not occur.
In figure IV, one alcohol will be oxidized to carboxylic acid and the other to ketone and both of them are present at Beta-positions, decarboxylation will take place.
Therefore, from the above statements the correct answer is (c).
Note: beta-Keto acids are very unstable and readily undergo the elimination of carbon dioxide or simply decarboxylation under mild conditions. Ketones are obtained in these reactions.
Complete step by step solution: Primary alcohols are those alcohols where the carbon atom of the hydroxyl group (OH) is attached to only one single alkyl group, similarly secondary alcohol is a compound in which a hydroxyl group (OH), is attached to a carbon atom which has two other carbon atoms attached to it.
In the given diagram the primary alcohols are I and II whereas III and IV are having both primary and secondary alcohols.
Now the \[Cr{{O}_{3}}\] will oxidize the primary alcohols to acids and the secondary to ketones.
Decarboxylation is a chemical reaction that removes a carboxyl group and releases carbon dioxide. Usually, decarboxylation refers to a reaction of carboxylic acids, removing a carbon atom from a carbon chain. Decarboxylation occurs in the keto-acid groups.
Now, in figure I, the alcohols will be oxidized to carboxylic acids at primary positions, \[C{{O}_{2}}\] will be released and the decarboxylation can be done easily, but none of them are at beta-position. Therefore, decarboxylation will not take place.
Similarly, in Figure II, alcohols will be oxidized into carboxylic acids, and both of them are present at beta-position to each other, thus, decarboxylation will take place.
In Figure III, one alcohol will be oxidized to carboxylic acid and the other to ketone but they are present at alpha positions, thus, decarboxylation will not occur.
In figure IV, one alcohol will be oxidized to carboxylic acid and the other to ketone and both of them are present at Beta-positions, decarboxylation will take place.
Therefore, from the above statements the correct answer is (c).
Note: beta-Keto acids are very unstable and readily undergo the elimination of carbon dioxide or simply decarboxylation under mild conditions. Ketones are obtained in these reactions.
Recently Updated Pages
A man running at a speed 5 ms is viewed in the side class 12 physics CBSE

The number of solutions in x in 02pi for which sqrt class 12 maths CBSE

State and explain Hardy Weinbergs Principle class 12 biology CBSE

Write any two methods of preparation of phenol Give class 12 chemistry CBSE

Which of the following statements is wrong a Amnion class 12 biology CBSE

Differentiate between action potential and resting class 12 biology CBSE

Trending doubts
What are the major means of transport Explain each class 12 social science CBSE

Which are the Top 10 Largest Countries of the World?

Draw a labelled sketch of the human eye class 12 physics CBSE

Explain sex determination in humans with line diag class 12 biology CBSE

Explain sex determination in humans with the help of class 12 biology CBSE

Differentiate between homogeneous and heterogeneous class 12 chemistry CBSE

