
Borax structure contains?
A. Two $B{{O}_{4}}$ groups and two $B{{O}_{3}}$ groups
B. Four$B{{O}_{4}}$ groups only
C. Four $B{{O}_{3}}$ groups only
D. Three $B{{O}_{4}}$ groups and one $B{{O}_{3}}$ group
Answer
503.4k+ views
Hint: Borax is a compound of boron it has a structure having tetra nuclear units. Borax is a salt that contains water of crystallization. It is an important compound of boron. It gives a famous borax bead test on subjection with heat to form transparent beads like glass. They consist of sodium Meta borate and boric anhydride.
Complete answer:
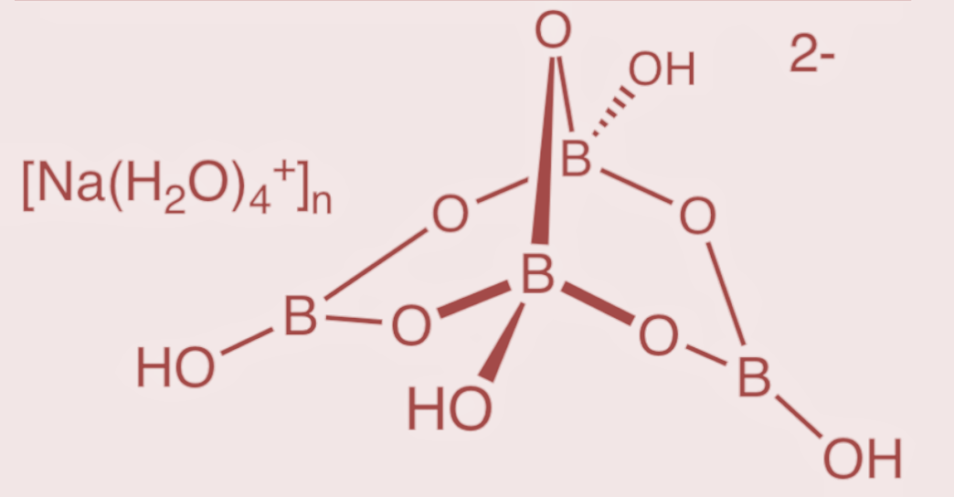
Borax is an important compound of boron. It has a formula $N{{a}_{2}}[{{B}_{4}}{{O}_{5}}{{(OH)}_{4}}].8{{H}_{2}}O$ and thus also called as sodium tetraborate. Its structure consist of tetra nuclear units of the formula${{\left[ {{B}_{4}}{{O}_{5}}{{(OH)}_{4}} \right]}^{2-}}$
The structure of borax consists of an arrangement with 4 boron atoms such that 2 boron atoms form 3 – coordinate bonds, while the other 2 boron atoms form 4 – coordinate bonds. Thus the structure gives rise to the formation of two groups of boron and oxygen arrangement. The arrangement where 2 boron atoms are in the form of tetrahedral atoms having two $B{{O}_{4}}$groups, and the other arrangement where the other 2 boron atoms have a planar arrangement with 3 oxygen atoms as $B{{O}_{3}}$ groups. The structure of borax is as follows:
Hence, the borax structure contains two $B{{O}_{4}}$ groups and two $B{{O}_{3}}$groups.
So, option A is correct.
Note:
Borax is one of the most useful compounds of boron. It is used in preparing antiseptic medicinal soaps, for water softening, manufacturing borosilicate glass, soldering etc. It gives a known borax bead test that when subjected to heating it forms glass like beads that are important and useful in qualitative analysis of radicals.
Complete answer:
Borax is an important compound of boron. It has a formula $N{{a}_{2}}[{{B}_{4}}{{O}_{5}}{{(OH)}_{4}}].8{{H}_{2}}O$ and thus also called as sodium tetraborate. Its structure consist of tetra nuclear units of the formula${{\left[ {{B}_{4}}{{O}_{5}}{{(OH)}_{4}} \right]}^{2-}}$
The structure of borax consists of an arrangement with 4 boron atoms such that 2 boron atoms form 3 – coordinate bonds, while the other 2 boron atoms form 4 – coordinate bonds. Thus the structure gives rise to the formation of two groups of boron and oxygen arrangement. The arrangement where 2 boron atoms are in the form of tetrahedral atoms having two $B{{O}_{4}}$groups, and the other arrangement where the other 2 boron atoms have a planar arrangement with 3 oxygen atoms as $B{{O}_{3}}$ groups. The structure of borax is as follows:
Hence, the borax structure contains two $B{{O}_{4}}$ groups and two $B{{O}_{3}}$groups.
So, option A is correct.
Note:
Borax is one of the most useful compounds of boron. It is used in preparing antiseptic medicinal soaps, for water softening, manufacturing borosilicate glass, soldering etc. It gives a known borax bead test that when subjected to heating it forms glass like beads that are important and useful in qualitative analysis of radicals.
Recently Updated Pages
Why are manures considered better than fertilizers class 11 biology CBSE

Find the coordinates of the midpoint of the line segment class 11 maths CBSE

Distinguish between static friction limiting friction class 11 physics CBSE

The Chairman of the constituent Assembly was A Jawaharlal class 11 social science CBSE

The first National Commission on Labour NCL submitted class 11 social science CBSE

Number of all subshell of n + l 7 is A 4 B 5 C 6 D class 11 chemistry CBSE

Trending doubts
What is meant by exothermic and endothermic reactions class 11 chemistry CBSE

1 Quintal is equal to a 110 kg b 10 kg c 100kg d 1000 class 11 physics CBSE

Difference Between Prokaryotic Cells and Eukaryotic Cells

What are Quantum numbers Explain the quantum number class 11 chemistry CBSE

What is periodicity class 11 chemistry CBSE

Explain zero factorial class 11 maths CBSE

