
Write the structure of Leucine
Answer
561.9k+ views
Hint: Leucine is an essential, branched-chain amino acid ,required for the growth and repair of muscle, skin and bone. Leucine is the only amino acid that can stimulate muscle growth and help prevent the deterioration of muscle with age.
High leucine foods include chicken, beef, pork, fish (tuna), tofu, canned beans, milk, cheese, squash seeds, and eggs.
Complete step by step answer:
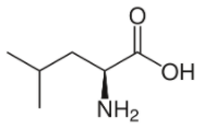
It is an essential \[\alpha {\text{-amino acid}}{\text{.}}\] It contains an \[\alpha {\text{-amino acid}}{\text{ }}\] group and \[\alpha {\text{- carboxyl}}\] group and a side chain \[{\text{iso - butyl}}\] group. It is non – polar aliphatic amino acid. It is an essential amino acid as it cannot be synthesised in the body.
Human dietary sources are dietary dairy products, meat, soy products, beans, legumes. High leucine foods include chicken, beef, pork, fish (tuna), tofu, canned beans, milk, cheese, squash seeds, and eggs. The recommended daily intake for leucine is \[{\text{39 mg per - kg}}\] of body weight, or \[{\text{17}}{\text{.7 mg per pound}}\]. A person weighing \[{\text{70 kg}}\] should consume around \[{\text{2730 mg}}\] of leucine per day.
Note:
Leucine is one of nine essential amino acids in humans (provided by food), Leucine is important for protein synthesis and many metabolic functions. Leucine contributes to regulation of blood-sugar levels; growth and repair of muscle and bone tissue; growth hormone production; and wound healing. Leucine also prevents breakdown of muscle proteins after trauma or severe stress and may be beneficial for individuals with phenylketonuria. Leucine is available in many foods and deficiency is rare.
High leucine foods include chicken, beef, pork, fish (tuna), tofu, canned beans, milk, cheese, squash seeds, and eggs.
Complete step by step answer:
It is an essential \[\alpha {\text{-amino acid}}{\text{.}}\] It contains an \[\alpha {\text{-amino acid}}{\text{ }}\] group and \[\alpha {\text{- carboxyl}}\] group and a side chain \[{\text{iso - butyl}}\] group. It is non – polar aliphatic amino acid. It is an essential amino acid as it cannot be synthesised in the body.
Human dietary sources are dietary dairy products, meat, soy products, beans, legumes. High leucine foods include chicken, beef, pork, fish (tuna), tofu, canned beans, milk, cheese, squash seeds, and eggs. The recommended daily intake for leucine is \[{\text{39 mg per - kg}}\] of body weight, or \[{\text{17}}{\text{.7 mg per pound}}\]. A person weighing \[{\text{70 kg}}\] should consume around \[{\text{2730 mg}}\] of leucine per day.
Note:
Leucine is one of nine essential amino acids in humans (provided by food), Leucine is important for protein synthesis and many metabolic functions. Leucine contributes to regulation of blood-sugar levels; growth and repair of muscle and bone tissue; growth hormone production; and wound healing. Leucine also prevents breakdown of muscle proteins after trauma or severe stress and may be beneficial for individuals with phenylketonuria. Leucine is available in many foods and deficiency is rare.
Recently Updated Pages
Master Class 12 English: Engaging Questions & Answers for Success

Master Class 12 Economics: Engaging Questions & Answers for Success

Master Class 12 Social Science: Engaging Questions & Answers for Success

Master Class 12 Maths: Engaging Questions & Answers for Success

Master Class 12 Chemistry: Engaging Questions & Answers for Success

Master Class 12 Business Studies: Engaging Questions & Answers for Success

Trending doubts
What are the major means of transport Explain each class 12 social science CBSE

Which are the Top 10 Largest Countries of the World?

Draw a labelled sketch of the human eye class 12 physics CBSE

Explain sex determination in humans with line diag class 12 biology CBSE

The pH of the pancreatic juice is A 64 B 86 C 120 D class 12 biology CBSE

Explain sex determination in humans with the help of class 12 biology CBSE

