
Write the reactions involved in the following:
(a) Etard reaction
(b) Stephen reduction
Answer
573.9k+ views
Hint: Chemical reactions begin with reactants and end with products. Synthesis reactions bond reactants together, a process that requires energy, whereas decomposition reactions break the bonds within a reactant and thereby release energy. In exchange reactions, bonds are both broken and formed, and energy is exchanged
Complete step by step solution:
we have been given Etard and Stephen reaction:
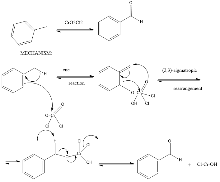
So, The Etard reaction is an oxidation reaction, and the specific oxidizing agent the Etard reaction employs is chromyl chloride. Chromyl chloride is a chromium-based, mild oxidizing agent that is excellent at making aldehydes.
The reactions involved in Etard reaction is:
Now, Stephen reaction: Stephen aldehyde synthesis, a named reaction in chemistry, was invented by Henry Stephen. This reaction involves the preparation of aldehydes from nitriles using tin (II) chloride, hydrochloric acid and quenching the resulting iminium salt with water. During the synthesis, ammonium chloride is also produced
The reaction involved in Stephen reaction is:
So, these are the reactions involving the Etard and Stephen reaction.
Note: When toluene is reacted with Chromyl Chloride then a chromium complex is formed (Etard Complex) whose hydrolysis gives Benzaldehyde. Here Chromyl Chloride is used to form an organic complex (Etard Complex) which can undergo hydrolysis to form the desired compound (in this case Benzaldehyde).
Complete step by step solution:
we have been given Etard and Stephen reaction:
So, The Etard reaction is an oxidation reaction, and the specific oxidizing agent the Etard reaction employs is chromyl chloride. Chromyl chloride is a chromium-based, mild oxidizing agent that is excellent at making aldehydes.
The reactions involved in Etard reaction is:
Now, Stephen reaction: Stephen aldehyde synthesis, a named reaction in chemistry, was invented by Henry Stephen. This reaction involves the preparation of aldehydes from nitriles using tin (II) chloride, hydrochloric acid and quenching the resulting iminium salt with water. During the synthesis, ammonium chloride is also produced
The reaction involved in Stephen reaction is:
So, these are the reactions involving the Etard and Stephen reaction.
Note: When toluene is reacted with Chromyl Chloride then a chromium complex is formed (Etard Complex) whose hydrolysis gives Benzaldehyde. Here Chromyl Chloride is used to form an organic complex (Etard Complex) which can undergo hydrolysis to form the desired compound (in this case Benzaldehyde).
Recently Updated Pages
A man running at a speed 5 ms is viewed in the side class 12 physics CBSE

State and explain Hardy Weinbergs Principle class 12 biology CBSE

Which of the following statements is wrong a Amnion class 12 biology CBSE

Two Planoconcave lenses 1 and 2 of glass of refractive class 12 physics CBSE

The compound 2 methyl 2 butene on reaction with NaIO4 class 12 chemistry CBSE

Bacterial cell wall is made up of A Cellulose B Hemicellulose class 12 biology CBSE

Trending doubts
What are the major means of transport Explain each class 12 social science CBSE

Which are the Top 10 Largest Countries of the World?

Draw a labelled sketch of the human eye class 12 physics CBSE

Explain sex determination in humans with line diag class 12 biology CBSE

The pH of the pancreatic juice is A 64 B 86 C 120 D class 12 biology CBSE

Give 10 examples of unisexual and bisexual flowers

