
Write the mechanism of nucleophilic substitution, when p-nitro chlorobenzene is treated with caustic soda.
Answer
567k+ views
Hint: Reactions involving replacement of halo group of aryl halide with some other substituent is known as nucleophilic aromatic substitution reaction. Aryl halides are less reactive than alkyl halides towards nucleophilic substitution reaction.
Complete step by step solution:
We know that aryl halides are resonance stabilized due to delocalization of electrons, so that $C - X$bond acquires some double bond character which makes its cleavage difficult.
Thus aryl halides undergo nucleophilic substitution reaction at high temperature and pressure only.
Now let us look into the mechanism of the reaction
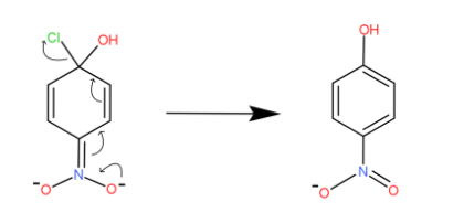
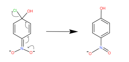
We have caustic soda which is the $NaOH$, the $O{H^ - }$of caustic soda attacks the chlorine part in the benzene
And when this happens due to resonating structure and the electron withdrawing group shift the electrons to accommodate the $O{H^ - }$. We can see the bond shift marked by the arrows.
This compound is very unstable and it again goes to its resonating structure
The electrons on the one side of nitro pass into its nitrogen bond and it circulates throughout the structure. We can see the movement of electrons or bonds by arrow marks. At last the bond on the chlorine atom shifts towards it and it gets detached.
Finally, we have the chlorine atom detached and hydroxide gets attached to that position. This is how the halo group is replaced in aryl halides.
Note: Here apart from chlorine attached to the benzene group we have an electron withdrawing group $ - N{O_2}$ at the para position. Presence of a strong electron withdrawing group at ortho or para position enhances the reactivity of aryl halides towards nucleophilic substitution.
We can also say that with the presence of an electron withdrawing group the reaction can occur in less temperature and pressure.
Complete step by step solution:
We know that aryl halides are resonance stabilized due to delocalization of electrons, so that $C - X$bond acquires some double bond character which makes its cleavage difficult.
Thus aryl halides undergo nucleophilic substitution reaction at high temperature and pressure only.
Now let us look into the mechanism of the reaction
We have caustic soda which is the $NaOH$, the $O{H^ - }$of caustic soda attacks the chlorine part in the benzene
And when this happens due to resonating structure and the electron withdrawing group shift the electrons to accommodate the $O{H^ - }$. We can see the bond shift marked by the arrows.
This compound is very unstable and it again goes to its resonating structure
The electrons on the one side of nitro pass into its nitrogen bond and it circulates throughout the structure. We can see the movement of electrons or bonds by arrow marks. At last the bond on the chlorine atom shifts towards it and it gets detached.
Finally, we have the chlorine atom detached and hydroxide gets attached to that position. This is how the halo group is replaced in aryl halides.
Note: Here apart from chlorine attached to the benzene group we have an electron withdrawing group $ - N{O_2}$ at the para position. Presence of a strong electron withdrawing group at ortho or para position enhances the reactivity of aryl halides towards nucleophilic substitution.
We can also say that with the presence of an electron withdrawing group the reaction can occur in less temperature and pressure.
Recently Updated Pages
In the figure AD and CE are the angle bisectors of class 9 maths CBSE

Concave and convex lenses each has the same focal length class 10 physics CBSE

In the given figure prove that ABparallel EF class 8 maths CBSE

The largest tea producing country in the world is A class 10 social science CBSE

Daniel is painting the walls and ceiling of a cuboidal class 10 maths CBSE

Who among the following is not appointed by the President class 9 social science CBSE

Trending doubts
Which are the Top 10 Largest Countries of the World?

What are the major means of transport Explain each class 12 social science CBSE

Draw a labelled sketch of the human eye class 12 physics CBSE

Draw the diagram showing the germination of pollen class 12 biology CBSE

Differentiate between insitu conservation and exsitu class 12 biology CBSE

The computer jargonwwww stands for Aworld wide web class 12 physics CBSE

