
Write the formula of the following Diammine dichloro platinum (II).
Answer
554.7k+ views
Hint: Diammine dichloro platinum (II) is a neutral complex with the square planar geometry. It can exist in two forms namely cis-diammine dichloro platinum (II) called as cisplatin and trans-diammine dichloro platinum (II) complex called as transplatin.
Complete step by step answer:
The complex is a neutral complex because Pt will contribute 2+ to the complex, $Cl$ will contribute 2- charge and \[N{H_3}\] will contribute 0 charge. Hence, the complex is a neutral complex.
In this Diammine dichloro platinum (II) complex, Platinum will be the central metal atom. It has four ligands surrounding it, namely two Cl atoms and two \[N{H_3}\] groups. Therefore, it will be having a square planar geometry. This complex can exist in two forms i.e. cis-isomer and trans-isomer.
cis-isomer is having the name cis-diammine dichloro platinum (II), which is also known as cisplatin and trans-isomer is having the name trans-diammine dichloro platinum (II), which is also known as transplatin.
Therefore, Formula for the Diammine dichloro platinum (II) complex is \[[Pt{(N{H_3})_2}C{l_2}]\].
Additional information:
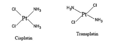
Structure of Diammine dichloro platinum (II) is given below:
- When two Chlorine atoms are adjacent to one another in the Diammine dichloro platinum complex, it is called Cisplatin.
- When the two Chlorine atoms are opposite to one another in the Diammine dichloro platinum complex, it is called Transplatin.
Note: - Cis isomer of Diammine dichloro platinum (II) complex is having major importance compared to trans isomer.
- Cisplatin can be used as a medication to treat various cancers such as Bladder cancer, testicular cancer, breast cancer, ovarian cancer, etc.
- Use of cisplatin can also cause various side effects such as kidney problems, hearing impairments, bone-marrow suppression, heart problems.
- It can also be used in Auger therapy.
Complete step by step answer:
The complex is a neutral complex because Pt will contribute 2+ to the complex, $Cl$ will contribute 2- charge and \[N{H_3}\] will contribute 0 charge. Hence, the complex is a neutral complex.
In this Diammine dichloro platinum (II) complex, Platinum will be the central metal atom. It has four ligands surrounding it, namely two Cl atoms and two \[N{H_3}\] groups. Therefore, it will be having a square planar geometry. This complex can exist in two forms i.e. cis-isomer and trans-isomer.
cis-isomer is having the name cis-diammine dichloro platinum (II), which is also known as cisplatin and trans-isomer is having the name trans-diammine dichloro platinum (II), which is also known as transplatin.
Therefore, Formula for the Diammine dichloro platinum (II) complex is \[[Pt{(N{H_3})_2}C{l_2}]\].
Additional information:
Structure of Diammine dichloro platinum (II) is given below:
- When two Chlorine atoms are adjacent to one another in the Diammine dichloro platinum complex, it is called Cisplatin.
- When the two Chlorine atoms are opposite to one another in the Diammine dichloro platinum complex, it is called Transplatin.
Note: - Cis isomer of Diammine dichloro platinum (II) complex is having major importance compared to trans isomer.
- Cisplatin can be used as a medication to treat various cancers such as Bladder cancer, testicular cancer, breast cancer, ovarian cancer, etc.
- Use of cisplatin can also cause various side effects such as kidney problems, hearing impairments, bone-marrow suppression, heart problems.
- It can also be used in Auger therapy.
Recently Updated Pages
Why are manures considered better than fertilizers class 11 biology CBSE

Find the coordinates of the midpoint of the line segment class 11 maths CBSE

Distinguish between static friction limiting friction class 11 physics CBSE

The Chairman of the constituent Assembly was A Jawaharlal class 11 social science CBSE

The first National Commission on Labour NCL submitted class 11 social science CBSE

Number of all subshell of n + l 7 is A 4 B 5 C 6 D class 11 chemistry CBSE

Trending doubts
Differentiate between an exothermic and an endothermic class 11 chemistry CBSE

1 Quintal is equal to a 110 kg b 10 kg c 100kg d 1000 class 11 physics CBSE

Explain zero factorial class 11 maths CBSE

What is boron A Nonmetal B Metal C Metalloid D All class 11 chemistry CBSE

Bond order ofO2 O2+ O2 and O22 is in order A O2 langle class 11 chemistry CBSE

Distinguish between verbal and nonverbal communica class 11 english CBSE

