
Write full form of NADP.
Answer
578.4k+ views
Hint:It is a triphosphopyridine nucleotide which is used in several anabolic reactions mainly in the dark reaction of photosynthesis, nucleic acid synthesis, lipid metabolism etc. All forms in cellular life require it.
Complete answer:
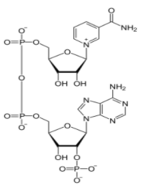
The full form of NADP is Nicotinamide adenine dinucleotide phosphate. NADP acts as an electron carrier that accepts electrons and forms NADPH i.e. Nicotinamide adenine dinucleotide phosphate hydrogenase. This coenzyme is the first enzyme in P450 systems of mitochondria where steroid hormones are synthesized. NAD (Nicotinamide adenine dinucleotide) and NADP are important coenzymes in cells. NAD with a phosphate group in its third carbon position makes NADP. In the nicotinamide ring, as the nitrogen atom is positively charged, oxidized forms of redox reagents are known as $\text{NA}{{\text{D}}^{\text{+}}}$
and $\text{NA}{{\text{D}}^{\text{+}}}$\[\text{NAD}{{\text{P}}^{\text{+}}}\] respectively. For biosynthesis and other functions, it requires a reducing agent NADPH. NADPH is produced by the reduction of \[\text{NAD}{{\text{P}}^{\text{+}}}\]. NADPH can also be produced by carbon metabolism or the mechanism of isocitrate dehydrogenase. The chemical formula and molar mass of NADP is-
Chemical Formula ${{\text{C}}_{\text{21}}}{{\text{H}}_{\text{29}}}{{\text{N}}_{\text{7}}}{{\text{O}}_{\text{17}}}{{\text{P}}_{3}}$
Note: As NADP is directly related to the light dependent reaction of photosynthesis, there is a need to have a clear knowledge about what is NADP and how it works in case of light phase or in other reactions also.
Complete answer:
The full form of NADP is Nicotinamide adenine dinucleotide phosphate. NADP acts as an electron carrier that accepts electrons and forms NADPH i.e. Nicotinamide adenine dinucleotide phosphate hydrogenase. This coenzyme is the first enzyme in P450 systems of mitochondria where steroid hormones are synthesized. NAD (Nicotinamide adenine dinucleotide) and NADP are important coenzymes in cells. NAD with a phosphate group in its third carbon position makes NADP. In the nicotinamide ring, as the nitrogen atom is positively charged, oxidized forms of redox reagents are known as $\text{NA}{{\text{D}}^{\text{+}}}$
and $\text{NA}{{\text{D}}^{\text{+}}}$\[\text{NAD}{{\text{P}}^{\text{+}}}\] respectively. For biosynthesis and other functions, it requires a reducing agent NADPH. NADPH is produced by the reduction of \[\text{NAD}{{\text{P}}^{\text{+}}}\]. NADPH can also be produced by carbon metabolism or the mechanism of isocitrate dehydrogenase. The chemical formula and molar mass of NADP is-
Chemical Formula ${{\text{C}}_{\text{21}}}{{\text{H}}_{\text{29}}}{{\text{N}}_{\text{7}}}{{\text{O}}_{\text{17}}}{{\text{P}}_{3}}$
Note: As NADP is directly related to the light dependent reaction of photosynthesis, there is a need to have a clear knowledge about what is NADP and how it works in case of light phase or in other reactions also.
Recently Updated Pages
Why are manures considered better than fertilizers class 11 biology CBSE

Find the coordinates of the midpoint of the line segment class 11 maths CBSE

Distinguish between static friction limiting friction class 11 physics CBSE

The Chairman of the constituent Assembly was A Jawaharlal class 11 social science CBSE

The first National Commission on Labour NCL submitted class 11 social science CBSE

Number of all subshell of n + l 7 is A 4 B 5 C 6 D class 11 chemistry CBSE

Trending doubts
Differentiate between an exothermic and an endothermic class 11 chemistry CBSE

1 Quintal is equal to a 110 kg b 10 kg c 100kg d 1000 class 11 physics CBSE

Explain zero factorial class 11 maths CBSE

What is boron A Nonmetal B Metal C Metalloid D All class 11 chemistry CBSE

Bond order ofO2 O2+ O2 and O22 is in order A O2 langle class 11 chemistry CBSE

Distinguish between verbal and nonverbal communica class 11 english CBSE

