
Write a short note on the Perkin reaction.
Answer
590.4k+ views
Hint: Organic reactions are the reactions involving organic compounds. Organic compounds are formed from carbon and its derivatives. Perkin reaction is also an example of organic reaction.
Complete step by step answer:
Perkin reaction is an organic reaction which is used to make cinnamic acids. It gives $\alpha ,\beta - $ unsaturated aromatic acid by the aldol condensation of an aromatic aldehyde and acid anhydride. This reaction occurs in the presence of alkali, which acts as a base catalyst in the reaction. So basically this is an aldol reaction.
Reaction:
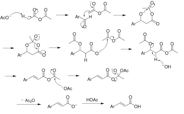
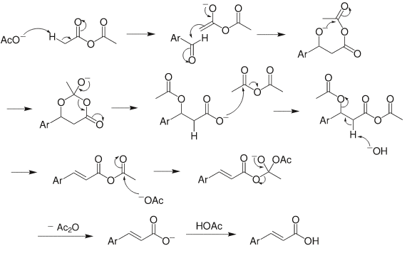
The mechanism of reaction:
The mechanism of this reaction is long. It starts from the attacking of base on anhydride resulting in carbanion. Now this anion attacks on the carbon of aldehyde. This produces an intermediate and finally it produces unsaturated anhydride with the elimination of hydroxyl groups. Now the product is hydrolyzed and we finally get $\alpha ,\beta - $ unsaturated acid.
Note:
The mechanism of this Perkin’s reaction is not universally accepted due to some variations in mechanism of the reaction. It includes reactions between Aromatic aldehydes, aliphatic acid anhydride and the alkali salt.
Complete step by step answer:
Perkin reaction is an organic reaction which is used to make cinnamic acids. It gives $\alpha ,\beta - $ unsaturated aromatic acid by the aldol condensation of an aromatic aldehyde and acid anhydride. This reaction occurs in the presence of alkali, which acts as a base catalyst in the reaction. So basically this is an aldol reaction.
Reaction:
The mechanism of reaction:
The mechanism of this reaction is long. It starts from the attacking of base on anhydride resulting in carbanion. Now this anion attacks on the carbon of aldehyde. This produces an intermediate and finally it produces unsaturated anhydride with the elimination of hydroxyl groups. Now the product is hydrolyzed and we finally get $\alpha ,\beta - $ unsaturated acid.
Note:
The mechanism of this Perkin’s reaction is not universally accepted due to some variations in mechanism of the reaction. It includes reactions between Aromatic aldehydes, aliphatic acid anhydride and the alkali salt.
Recently Updated Pages
Master Class 12 Economics: Engaging Questions & Answers for Success

Master Class 12 Physics: Engaging Questions & Answers for Success

Master Class 12 English: Engaging Questions & Answers for Success

Master Class 12 Social Science: Engaging Questions & Answers for Success

Master Class 12 Maths: Engaging Questions & Answers for Success

Master Class 12 Business Studies: Engaging Questions & Answers for Success

Trending doubts
Why cannot DNA pass through cell membranes class 12 biology CBSE

Draw a neat and well labeled diagram of TS of ovary class 12 biology CBSE

In a human foetus the limbs and digits develop after class 12 biology CBSE

AABbCc genotype forms how many types of gametes a 4 class 12 biology CBSE

Differentiate between homogeneous and heterogeneous class 12 chemistry CBSE

The correct structure of ethylenediaminetetraacetic class 12 chemistry CBSE

