
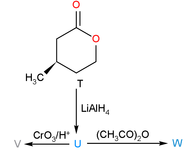
With the reference of the scheme given, which of the given statement (s) about T, U, V and W is correct?
A. T is soluble in hot aqueous NaOH
B. U is optically active
C. Molecular formula of W is ${{\text{C}}_{10}}{{\text{H}}_{18}}{{\text{O}}_{4}}$
D. V gives effervescence on treatment with $\text{NaHC}{{\text{O}}_{3}}$
Answer
564.9k+ views
Hint: For this problem, firstly we have to write the product which will be formed when the compound T will react with Lithium aluminium hydroxide and then the further reaction to write the products V and W so that we can determine all the options.
Complete step by step answer:
- In the given question, we have to explain that among the given options which option is correct or not.
- Now, firstly the compound T will reduce when it will react with lithium aluminium hydroxide because it is a reducing agent so the product formed will be:
- Now, here the compound T when placed in the alkaline medium of sodium hydroxide then it will form a salt complex due to which it will be soluble.
- So, we can say that the compound T will be soluble in the hot aqueous solution of the sodium hydroxide.
- Now, when the compound U will react with acetic anhydride with highly acidic because it consists of two molecules of acetic acid.
- Then it will yield a compound as shown below:
- So, here the product formed will have the molecular formula of ${{\text{C}}_{10}}{{\text{H}}_{18}}{{\text{O}}_{4}}$ because we can see in the structure that there are 10 carbon atoms, 18 hydrogen atoms and 4 oxygen atoms.
- So, we can say the statement C is correct.
- Now, firstly we have to find out the product V which is formed when the molecule U will undergo oxidation due to the presence of $\text{Cr}{{\text{O}}_{3}}/{{\text{H}}^{+}}$.
- So the product formed will be:
- Now, the molecular formula of the compound V will be ${{\text{C}}_{6}}{{\text{H}}_{10}}{{\text{O}}_{4}}$ so when it reacts with sodium carbonate it gives carbon dioxide gas.
- Due to the production of carbon dioxide gas it will show the effervescence as shown below:
${{\text{C}}_{6}}{{\text{H}}_{10}}{{\text{O}}_{4}}\text{ + NaHC}{{\text{O}}_{3}}\text{ }\to \text{ C}{{\text{O}}_{2}}\,\uparrow $
So, the correct answer is “Option A, C and D”.
Note: In this problem, the compound U is not the optically active compound because there is no chiral carbon present. As we know that the chiral carbon is the carbon which is attached to the four different groups.
Complete step by step answer:
- In the given question, we have to explain that among the given options which option is correct or not.
- Now, firstly the compound T will reduce when it will react with lithium aluminium hydroxide because it is a reducing agent so the product formed will be:
- Now, here the compound T when placed in the alkaline medium of sodium hydroxide then it will form a salt complex due to which it will be soluble.
- So, we can say that the compound T will be soluble in the hot aqueous solution of the sodium hydroxide.
- Now, when the compound U will react with acetic anhydride with highly acidic because it consists of two molecules of acetic acid.
- Then it will yield a compound as shown below:
- So, here the product formed will have the molecular formula of ${{\text{C}}_{10}}{{\text{H}}_{18}}{{\text{O}}_{4}}$ because we can see in the structure that there are 10 carbon atoms, 18 hydrogen atoms and 4 oxygen atoms.
- So, we can say the statement C is correct.
- Now, firstly we have to find out the product V which is formed when the molecule U will undergo oxidation due to the presence of $\text{Cr}{{\text{O}}_{3}}/{{\text{H}}^{+}}$.
- So the product formed will be:
- Now, the molecular formula of the compound V will be ${{\text{C}}_{6}}{{\text{H}}_{10}}{{\text{O}}_{4}}$ so when it reacts with sodium carbonate it gives carbon dioxide gas.
- Due to the production of carbon dioxide gas it will show the effervescence as shown below:
${{\text{C}}_{6}}{{\text{H}}_{10}}{{\text{O}}_{4}}\text{ + NaHC}{{\text{O}}_{3}}\text{ }\to \text{ C}{{\text{O}}_{2}}\,\uparrow $
So, the correct answer is “Option A, C and D”.
Note: In this problem, the compound U is not the optically active compound because there is no chiral carbon present. As we know that the chiral carbon is the carbon which is attached to the four different groups.
Recently Updated Pages
A man running at a speed 5 ms is viewed in the side class 12 physics CBSE

The number of solutions in x in 02pi for which sqrt class 12 maths CBSE

State and explain Hardy Weinbergs Principle class 12 biology CBSE

Write any two methods of preparation of phenol Give class 12 chemistry CBSE

Which of the following statements is wrong a Amnion class 12 biology CBSE

Differentiate between action potential and resting class 12 biology CBSE

Trending doubts
What are the major means of transport Explain each class 12 social science CBSE

Which are the Top 10 Largest Countries of the World?

Draw a labelled sketch of the human eye class 12 physics CBSE

How much time does it take to bleed after eating p class 12 biology CBSE

Explain sex determination in humans with line diag class 12 biology CBSE

When was the first election held in India a 194748 class 12 sst CBSE

