
Which of the following pair is \[{C_2}\] epimer:
A.D-Glucose, D-Maltose
B.D-Glucose, D-Mannose
C.D-Allose, D-Ribose
D.D-Glucose, D-Arabinose
Answer
573.3k+ views
Hint: Epimer in stereochemistry describes one of a pair of stereoisomers. At the stereo genic centre, two isomers present in the molecules differ, while the rest remains the same. A molecule can have various stereo enters leading to several stereo enters.
Complete step by step answer:
Epimers are the diastereomers that contain one or more chiral carbon but differ in their configuration at only one chiral carbon in their structures. Let us look at the structure of D-Glucose, the carbon chain is assigned numbers as per functional group priority. At its C2 position, the constituents are exchanged from right to left to left to right. This gives a new compound called D-Mannose.
D-Glucose D-Mannose
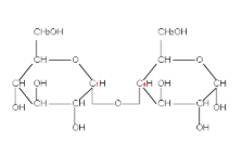
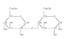
The configuration of all chiral carbons from C2 to C5 is 2R, 3S, 4R and 5R. but its epimer D-Mannose has different arrangement at C2 and the configuration of all chiral carbons of D-Mannose becomes 2S, 3S, 4R and 5R. Therefore, we call them epimers as they differ only at C2 position, while the rest is identical. D-Maltose has two D-glucopyranose units, so it is entirely different from D-Glucose. Whereas D-Arabinose has a five carbon chain only.
D-Maltose D-Arabinose
Hence, the correct option is (B).
Note:
Epimers are not mirror images and are non-superimposable to each other, so they can be called diastereomers as well. The configuration at chiral carbon can be identified by assigning priorities to the groups attached to the chiral carbon and check whether it is S or R configuration.
Complete step by step answer:
Epimers are the diastereomers that contain one or more chiral carbon but differ in their configuration at only one chiral carbon in their structures. Let us look at the structure of D-Glucose, the carbon chain is assigned numbers as per functional group priority. At its C2 position, the constituents are exchanged from right to left to left to right. This gives a new compound called D-Mannose.
D-Glucose D-Mannose
The configuration of all chiral carbons from C2 to C5 is 2R, 3S, 4R and 5R. but its epimer D-Mannose has different arrangement at C2 and the configuration of all chiral carbons of D-Mannose becomes 2S, 3S, 4R and 5R. Therefore, we call them epimers as they differ only at C2 position, while the rest is identical. D-Maltose has two D-glucopyranose units, so it is entirely different from D-Glucose. Whereas D-Arabinose has a five carbon chain only.
D-Maltose D-Arabinose
Hence, the correct option is (B).
Note:
Epimers are not mirror images and are non-superimposable to each other, so they can be called diastereomers as well. The configuration at chiral carbon can be identified by assigning priorities to the groups attached to the chiral carbon and check whether it is S or R configuration.
Recently Updated Pages
A bag contains 5 red and 3 blue balls If 3 balls are class 12 maths CBSE

The angular magnification of a simple microscope can class 12 physics CBSE

For the given figure the direction of electric field class 12 physics CBSE

A pea plant with yellow and round seeds YYRR is crossed class 12 biology CBSE

The IV characteristics of solar cell is drawn in the class 12 physics CBSE

A symmetric biconvex lens of radius of curvature R class 12 physics CBSE

Trending doubts
What are the major means of transport Explain each class 12 social science CBSE

Which are the Top 10 Largest Countries of the World?

Draw a labelled sketch of the human eye class 12 physics CBSE

Explain sex determination in humans with line diag class 12 biology CBSE

The pH of the pancreatic juice is A 64 B 86 C 120 D class 12 biology CBSE

Explain sex determination in humans with the help of class 12 biology CBSE

