
Which of the following is/are a meso compound?
THIS QUESTION HAS MULTIPLE CHOICE OPTIONS
A.
B.
C.
D.
Answer
567.9k+ views
Hint: We know that a meso isomer is a stereoisomer which is not optically active. This isomer is achiral despite the presence of two or more stereogenic centres. It has a plane of symmetry and superimposable mirror image.
Complete step by step answer:
Let’s first understand stereoisomers in detail. Isomers that possess different spatial atomic arrangement but same atomic connectivity are termed as stereoisomers. There are two types of stereoisomers, geometric isomers and optical isomers.
Now, we discuss the conditions required for a compound to be called a meso compound.
1)The compound must possess a plane of symmetry. A plane that bisects a molecule into two halves and these two parts are mirror images of each other is termed as a plane of symmetry.
2)The compound must have at least two chiral centres. Chiral centre is the atom in which all the four groups attached are different.
3)Also the compound must be optically inactive. An optically inactive compound possesses a plane of symmetry and centre of symmetry.
Now, we have to observe the above conditions in the given options.
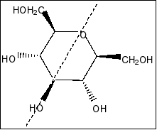
Compound in option A is
We clearly see that there is a plane of symmetry in the molecule and more than two chiral centres in the molecule. So, the compound is meso compound.
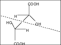
Compound in option B is,
Here also, we clearly see that there is a plane of symmetry and two chiral centres. So, this compound is also a meso compound.
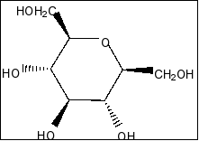
Compound in option C is,
Here, also a plane of symmetry and two chiral centres in the molecule. So, it is also a meso compound.
Compound in option D is,
Here also a plane of symmetry and two chiral centres present. So, this compound is also a meso compound.
Hence, A, B, C and D are the correct answers.
Note:
To identify whether an atom is a chiral centre or not, we have to look at the groups bonded to it. If all the bonded groups are different it indicates that the atom is a chiral centre. If we know the number of chiral centres in a molecule, then we can calculate the number of stereoisomers of the molecule. The formula is, ${\rm{Number}}\,{\rm{of}}\,{\rm{stereoisomer}} = {2^n}$, here, n represents the number of chiral centres.
Complete step by step answer:
Let’s first understand stereoisomers in detail. Isomers that possess different spatial atomic arrangement but same atomic connectivity are termed as stereoisomers. There are two types of stereoisomers, geometric isomers and optical isomers.
Now, we discuss the conditions required for a compound to be called a meso compound.
1)The compound must possess a plane of symmetry. A plane that bisects a molecule into two halves and these two parts are mirror images of each other is termed as a plane of symmetry.
2)The compound must have at least two chiral centres. Chiral centre is the atom in which all the four groups attached are different.
3)Also the compound must be optically inactive. An optically inactive compound possesses a plane of symmetry and centre of symmetry.
Now, we have to observe the above conditions in the given options.
Compound in option A is
We clearly see that there is a plane of symmetry in the molecule and more than two chiral centres in the molecule. So, the compound is meso compound.
Compound in option B is,
Here also, we clearly see that there is a plane of symmetry and two chiral centres. So, this compound is also a meso compound.
Compound in option C is,
Here, also a plane of symmetry and two chiral centres in the molecule. So, it is also a meso compound.
Compound in option D is,
Here also a plane of symmetry and two chiral centres present. So, this compound is also a meso compound.
Hence, A, B, C and D are the correct answers.
Note:
To identify whether an atom is a chiral centre or not, we have to look at the groups bonded to it. If all the bonded groups are different it indicates that the atom is a chiral centre. If we know the number of chiral centres in a molecule, then we can calculate the number of stereoisomers of the molecule. The formula is, ${\rm{Number}}\,{\rm{of}}\,{\rm{stereoisomer}} = {2^n}$, here, n represents the number of chiral centres.
Recently Updated Pages
A man running at a speed 5 ms is viewed in the side class 12 physics CBSE

State and explain Hardy Weinbergs Principle class 12 biology CBSE

Which of the following statements is wrong a Amnion class 12 biology CBSE

Two Planoconcave lenses 1 and 2 of glass of refractive class 12 physics CBSE

The compound 2 methyl 2 butene on reaction with NaIO4 class 12 chemistry CBSE

Bacterial cell wall is made up of A Cellulose B Hemicellulose class 12 biology CBSE

Trending doubts
What are the major means of transport Explain each class 12 social science CBSE

Which are the Top 10 Largest Countries of the World?

Draw a labelled sketch of the human eye class 12 physics CBSE

Explain sex determination in humans with line diag class 12 biology CBSE

Give 10 examples of unisexual and bisexual flowers

State the principle of an ac generator and explain class 12 physics CBSE

