
Which of the following is a tetrabasic acid?
(A) Hypophosphorous acid
(B) Metaphosphoric acid
(C) Pyrophosphoric acid
(D) Orthophosphoric acid
Answer
469.8k+ views
Hint: Bronsted-Lowry theory, which is also termed as proton theory of acids and bases, states that the compound which can transfer a proton to another compound is termed as acid and those that accept the protons are bases. The proton is the nuclear particle which contains positive charge and is represented by the symbol $ {H^ + } $ because it makes the nucleus of a hydrogen atom.
Complete Step By Step Answer:
Monobasic acids are those acids which enhance only one hydrogen ion $ \left( {{H^ + }} \right) $ per molecule in the water. Example: acetic acid, hydrochloric acid, nitric acid. Dibasic acids are those acids which enhance two hydrogen ions $ \left( {{H^ + }} \right) $ per molecule in water. Example: Oxalic acid, sulphuric acid, carbonic acid. Tribasic acid are those acids which enhance three hydrogen ions $ \left( {{H^ + }} \right) $ per molecule in water. Example: phosphorus acid and phosphoric acid.
Tetrabasic acids are those acids which enhance four hydrogen ions $ \left( {{H^ + }} \right) $ per molecule in water.
In Hypophosphorous acid which is $ {H_3}P{O_2} $ .
Structure of $ {H_3}P{O_2} $ :
In Metaphosphoric acid whose formula is $ HP{O_3} $ .
Structure of $ HP{O_3} $ :
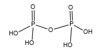
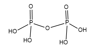
In pyrophosphoric acid whose formula is $ {H_4}{P_2}{O_7} $ .
Structure of $ {H_4}{P_2}{O_7} $ :
In Orthophosphoric acid whose formula is $ {H_3}P{O_4} $ .
Structure of $ {H_3}P{O_4} $ :
Thus, option $ \left( C \right) $ is the right answer.
Note:
The number of hydronium ions formed by one molecule of the acid in the aqueous solution is termed as the basicity of an acid. A monobasic acid has one hydrogen atom to donate in the acid-base reaction. Thus, the monobasic molecule has merely one replaceable hydrogen atom.
Complete Step By Step Answer:
Monobasic acids are those acids which enhance only one hydrogen ion $ \left( {{H^ + }} \right) $ per molecule in the water. Example: acetic acid, hydrochloric acid, nitric acid. Dibasic acids are those acids which enhance two hydrogen ions $ \left( {{H^ + }} \right) $ per molecule in water. Example: Oxalic acid, sulphuric acid, carbonic acid. Tribasic acid are those acids which enhance three hydrogen ions $ \left( {{H^ + }} \right) $ per molecule in water. Example: phosphorus acid and phosphoric acid.
Tetrabasic acids are those acids which enhance four hydrogen ions $ \left( {{H^ + }} \right) $ per molecule in water.
In Hypophosphorous acid which is $ {H_3}P{O_2} $ .
Structure of $ {H_3}P{O_2} $ :
In Metaphosphoric acid whose formula is $ HP{O_3} $ .
Structure of $ HP{O_3} $ :
In pyrophosphoric acid whose formula is $ {H_4}{P_2}{O_7} $ .
Structure of $ {H_4}{P_2}{O_7} $ :
In Orthophosphoric acid whose formula is $ {H_3}P{O_4} $ .
Structure of $ {H_3}P{O_4} $ :
Thus, option $ \left( C \right) $ is the right answer.
Note:
The number of hydronium ions formed by one molecule of the acid in the aqueous solution is termed as the basicity of an acid. A monobasic acid has one hydrogen atom to donate in the acid-base reaction. Thus, the monobasic molecule has merely one replaceable hydrogen atom.
Recently Updated Pages
Why are manures considered better than fertilizers class 11 biology CBSE

Find the coordinates of the midpoint of the line segment class 11 maths CBSE

Distinguish between static friction limiting friction class 11 physics CBSE

The Chairman of the constituent Assembly was A Jawaharlal class 11 social science CBSE

The first National Commission on Labour NCL submitted class 11 social science CBSE

Number of all subshell of n + l 7 is A 4 B 5 C 6 D class 11 chemistry CBSE

Trending doubts
Differentiate between an exothermic and an endothermic class 11 chemistry CBSE

10 examples of friction in our daily life

One Metric ton is equal to kg A 10000 B 1000 C 100 class 11 physics CBSE

Difference Between Prokaryotic Cells and Eukaryotic Cells

1 Quintal is equal to a 110 kg b 10 kg c 100kg d 1000 class 11 physics CBSE

State the laws of reflection of light

