
What type of bond exists between HF, $N{{H}_{3}}$ , ${{C}_{2}}{{H}_{5}}OH$ molecules?
Answer
587.4k+ views
Hint: The difference of electronegativity between Fluorine and Hydrogen is greater than that of Hydrogen and Nitrogen or the Hydroxide group and the ethyl group. Therefore, consider the polarity of each molecule while trying to answer this question.
Complete step by step solution:
Let us look at the bond type of each of these given compounds one at a time.
- Within the HF molecule, the bond is a fairly polar covalent bond. HF is a gaseous substance made of molecules of HF and is properly described as covalent molecular on this basis. Ionic substances are at room temperature in the form of a solid, which is made of a lattice of positive and negative ions. HF is clearly not like this.
- Between the molecules of HF, there are quite strong intermolecular attractions, known as hydrogen bonds. These are a type of dipole-dipole interaction that can occur between molecules which have hydrogen bonded to one of the more electronegative elements, N, O or F. So, the partially positive hydrogen in one molecule will be attracted to the partially negative fluorine in another molecule.
- $N{{H}_{3}}$ (Ammonia) is a covalent compound. In $N{{H}_{3}}$ , hydrogen can form 1 covalent bond while nitrogen can form 3 covalent bonds.
- As nitrogen and hydrogen both are non-metallic compounds and do not have a tendency to donate their electrons, so ‘Ammonia’ cannot be an ionic compound. Ionic compounds have a tendency to donate their electrons for the formation of ionic bonds.
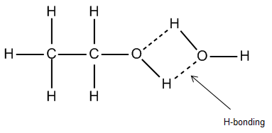
- Ethanol, or $N{{H}_{3}}$ , has two different types of bonding between its constituent atoms. The bonds between the hydrogen and carbon atoms are nonpolar covalent bonds. The hydrogen-oxygen and carbon-oxygen bonds are polar covalent bonds. In turn, these polar covalent bonds can lead to hydrogen bonds forming between ethanol molecules and some other molecules.
Note: While analysing the HF and $N{{H}_{3}}$,be very careful that these compounds cannot be ionic as Hydrogen simply does not possess enough metallic character for there to be fairly large difference in electronegativity to result in an ionic compound.
Complete step by step solution:
Let us look at the bond type of each of these given compounds one at a time.
- Within the HF molecule, the bond is a fairly polar covalent bond. HF is a gaseous substance made of molecules of HF and is properly described as covalent molecular on this basis. Ionic substances are at room temperature in the form of a solid, which is made of a lattice of positive and negative ions. HF is clearly not like this.
- Between the molecules of HF, there are quite strong intermolecular attractions, known as hydrogen bonds. These are a type of dipole-dipole interaction that can occur between molecules which have hydrogen bonded to one of the more electronegative elements, N, O or F. So, the partially positive hydrogen in one molecule will be attracted to the partially negative fluorine in another molecule.
- $N{{H}_{3}}$ (Ammonia) is a covalent compound. In $N{{H}_{3}}$ , hydrogen can form 1 covalent bond while nitrogen can form 3 covalent bonds.
- As nitrogen and hydrogen both are non-metallic compounds and do not have a tendency to donate their electrons, so ‘Ammonia’ cannot be an ionic compound. Ionic compounds have a tendency to donate their electrons for the formation of ionic bonds.
- Ethanol, or $N{{H}_{3}}$ , has two different types of bonding between its constituent atoms. The bonds between the hydrogen and carbon atoms are nonpolar covalent bonds. The hydrogen-oxygen and carbon-oxygen bonds are polar covalent bonds. In turn, these polar covalent bonds can lead to hydrogen bonds forming between ethanol molecules and some other molecules.
Note: While analysing the HF and $N{{H}_{3}}$,be very careful that these compounds cannot be ionic as Hydrogen simply does not possess enough metallic character for there to be fairly large difference in electronegativity to result in an ionic compound.
Recently Updated Pages
The number of solutions in x in 02pi for which sqrt class 12 maths CBSE

Write any two methods of preparation of phenol Give class 12 chemistry CBSE

Differentiate between action potential and resting class 12 biology CBSE

Two plane mirrors arranged at right angles to each class 12 physics CBSE

Which of the following molecules is are chiral A I class 12 chemistry CBSE

Name different types of neurons and give one function class 12 biology CBSE

Trending doubts
Sketch the electric field lines in case of an electric class 12 physics CBSE

Explain the formation of energy bands in solids On class 12 physics CBSE

Mention any two factors on which the capacitance of class 12 physics CBSE

Drive an expression for the electric field due to an class 12 physics CBSE

Draw a ray diagram of compound microscope when the class 12 physics CBSE

a Draw Labelled diagram of Standard Hydrogen Electrode class 12 chemistry CBSE

