
The structure of But-3-yn-1-ol is :
A.
B.
C.
D.
Answer
564.3k+ views
Hint:In the above structure, we can see the OH group must attach with the first carbon and the triple bond must attach with the third carbon. Because in the question we can see But-3-yn-1-ol in this yn represent the triple bond and ol represent alcohol.
Complete step by step answer:
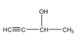
In this structure the presence of four carbon atoms so “but” and alcohol group attached to the first carbon atom so “1-ol” and triple bond present in the third carbon atom so “3-yn”. This structure is named as But-3-yn-1-ol.
In this structure the presence of four carbon atoms and alcohol group is attached with a second carbon and triple bond present in the third carbon atom. This structure is named as But-3-yn-2-ol.
In this structure the presence of four carbon atoms and alcohol group is attached to the first carbon and triple bond attached with the first carbon. This structure is named as But-1-yn-1ol.
In this structure the presence of four carbon atoms and alcohol group is attached to the first carbon and triple bond attached with the second carbon atom. This structure is named as But-2-yn-1-ol.
Thus the answer is an option (A).
Note:
To find the structure, we must know the IUPAC nomenclature.
-The yne suffix (ending) indicates the presence of an alkyne or cycloalkane group in the molecule.
-The longest chain chosen for the root name must be both carbon atoms of the triple bond.
-The root chain must be numbered from the end nearest a triple bond carbon atom.
-The numbers indicating the carbon atoms of the triple bond are used as the triple bond locator.
Complete step by step answer:
In this structure the presence of four carbon atoms so “but” and alcohol group attached to the first carbon atom so “1-ol” and triple bond present in the third carbon atom so “3-yn”. This structure is named as But-3-yn-1-ol.
In this structure the presence of four carbon atoms and alcohol group is attached with a second carbon and triple bond present in the third carbon atom. This structure is named as But-3-yn-2-ol.
In this structure the presence of four carbon atoms and alcohol group is attached to the first carbon and triple bond attached with the first carbon. This structure is named as But-1-yn-1ol.
In this structure the presence of four carbon atoms and alcohol group is attached to the first carbon and triple bond attached with the second carbon atom. This structure is named as But-2-yn-1-ol.
Thus the answer is an option (A).
Note:
To find the structure, we must know the IUPAC nomenclature.
-The yne suffix (ending) indicates the presence of an alkyne or cycloalkane group in the molecule.
-The longest chain chosen for the root name must be both carbon atoms of the triple bond.
-The root chain must be numbered from the end nearest a triple bond carbon atom.
-The numbers indicating the carbon atoms of the triple bond are used as the triple bond locator.
Recently Updated Pages
Which cell organelles are present in white blood C class 11 biology CBSE

What is the molecular geometry of BrF4 A square planar class 11 chemistry CBSE

How can you explain that CCl4 has no dipole moment class 11 chemistry CBSE

Which will undergo SN2 reaction fastest among the following class 11 chemistry CBSE

The values of mass m for which the 100 kg block does class 11 physics CBSE

Why are voluntary muscles called striated muscles class 11 biology CBSE

Trending doubts
Which are the Top 10 Largest Countries of the World?

What are the major means of transport Explain each class 12 social science CBSE

Draw a labelled sketch of the human eye class 12 physics CBSE

Draw the diagram showing the germination of pollen class 12 biology CBSE

Differentiate between insitu conservation and exsitu class 12 biology CBSE

The computer jargonwwww stands for Aworld wide web class 12 physics CBSE

