
The radical given below is aromatic, because it has
A. 7 p-orbitals and 6 unpaired electrons
B. 7 p- orbitals and 7 unpaired electrons
C. 6 p-orbitals and 7 unpaired electrons
D. 6 p-orbitals and 1 unpaired electron
Answer
554.1k+ views
Hint: Aromaticity is a chemical property of organic compounds, aromatic compounds follow Huckel’s rule. They have a high degree of stability. They show electrophilic substitution reactions. There is a diamagnetic current in these compounds.
Complete Step by step answer: aromatic compounds have high degree of stability due to filled bonding molecular orbital.
They follow huckel’s rule of aromaticity-
Huckel’s rule states that, for a compound to be aromatic, the compound should be planar, cyclic and should have (4n+2) pi electrons that should be in continuous delocalization or an uninterrupted cyclic pi electron cloud should be there. Here n= 0,1,2……
So if we put n=0 ,we get 2 pi electrons
If we put n=1, we get 6 pi electrons
If we put n=2, we get 10 pi electrons and so on
For example benzene, we all know are aware of the structure of benzene. It is planar, it is cyclic and it has 6 Pi electrons
In the above case, it is aromatic, because it is planar, cyclic and has 6 pi electrons which are in continuous delocalization. And hence satisfying the condition of Huckle’s rule of aromaticity.
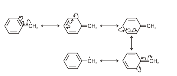
But the free radical also has 1 unpaired electron and 1 p orbital. Here the free radical unpaired electron is also involved in the delocalization. So total we have 7 unpaired electrons 7 p- orbitals.
Hence the correct option will be B. total 7 unpaired electrons and 7 p- orbitals.
Note: Molecules which are cyclic, planar, and have 4n pi electrons which are in conjugation are called as anti-aromatic. For example: cyclobuta-1,3-diene. The compounds which do not follow huckel’s rule for aromaticity and anti-aromaticity are non-aromatic. For example: cyclooctatetraene.
Complete Step by step answer: aromatic compounds have high degree of stability due to filled bonding molecular orbital.
They follow huckel’s rule of aromaticity-
Huckel’s rule states that, for a compound to be aromatic, the compound should be planar, cyclic and should have (4n+2) pi electrons that should be in continuous delocalization or an uninterrupted cyclic pi electron cloud should be there. Here n= 0,1,2……
So if we put n=0 ,we get 2 pi electrons
If we put n=1, we get 6 pi electrons
If we put n=2, we get 10 pi electrons and so on
For example benzene, we all know are aware of the structure of benzene. It is planar, it is cyclic and it has 6 Pi electrons
In the above case, it is aromatic, because it is planar, cyclic and has 6 pi electrons which are in continuous delocalization. And hence satisfying the condition of Huckle’s rule of aromaticity.
But the free radical also has 1 unpaired electron and 1 p orbital. Here the free radical unpaired electron is also involved in the delocalization. So total we have 7 unpaired electrons 7 p- orbitals.
Hence the correct option will be B. total 7 unpaired electrons and 7 p- orbitals.
Note: Molecules which are cyclic, planar, and have 4n pi electrons which are in conjugation are called as anti-aromatic. For example: cyclobuta-1,3-diene. The compounds which do not follow huckel’s rule for aromaticity and anti-aromaticity are non-aromatic. For example: cyclooctatetraene.
Recently Updated Pages
Primary source of water is ARivers BGroundwater C Lakes class 12 biology CBSE

Draw a labelled diagram in the proper sequence to show class 12 biology CBSE

From a group of 7 men and 6 women five persons are class 12 maths CBSE

In a threedimensional coordinate system XYZ a concave class 12 physics CBSE

What is urotropine Give its uses class 12 chemistry CBSE

What is the product formed when acetyl chloride reacts class 12 chemistry CBSE

Trending doubts
What are the major means of transport Explain each class 12 social science CBSE

Which are the Top 10 Largest Countries of the World?

Draw a labelled sketch of the human eye class 12 physics CBSE

Explain sex determination in humans with line diag class 12 biology CBSE

The pH of the pancreatic juice is A 64 B 86 C 120 D class 12 biology CBSE

Explain sex determination in humans with the help of class 12 biology CBSE

