
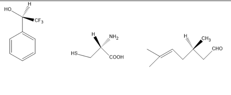
The R, S configuration of these compounds are respectively,
A.R, R, R
B.R, S, R
C.R, S, S
D.S, S, S
Answer
484.5k+ views
Hint: Based on the groups attached to the carbon atom, the nomenclature R and S can be written. The groups attached to the chiral carbon are should be taken in priority order. When the priority groups are in clockwise the nomenclature will be R and if the priority groups are in anticlockwise it will be S. If the least priority group is not below the plane, then the configuration will be inverted.
Complete answer: The organic compounds containing only single bonds are saturated compounds. The carbon in saturated compounds attached to the four different groups can be called chiral carbon. The carbon can be written as R and S nomenclature.
In the first molecule, the groups attached were hydroxyl, tri fluoro, phenyl and hydrogen. All the groups are in clockwise direction. Thus, the configuration is R.
In the second molecule, the groups attached were amine, methyl thiol, carboxylic acid and hydrogen. All these are in clockwise direction, but the hydrogen is not below the plane. Thus, the configuration is S.
In the third molecule, the groups attached were in clockwise direction. Thus, the configuration is R.
Thus, the configuration is R, S, R.
The correct answer is Option (B).
Note:
While writing the nomenclature of R and S, the groups must give priority first. The direction of higher to lower priority groups were in clockwise R, and in anticlockwise it is S. But the least priority atom or group should be below the plane, if it is not like that the configuration must be inverted.
Complete answer: The organic compounds containing only single bonds are saturated compounds. The carbon in saturated compounds attached to the four different groups can be called chiral carbon. The carbon can be written as R and S nomenclature.
In the first molecule, the groups attached were hydroxyl, tri fluoro, phenyl and hydrogen. All the groups are in clockwise direction. Thus, the configuration is R.
In the second molecule, the groups attached were amine, methyl thiol, carboxylic acid and hydrogen. All these are in clockwise direction, but the hydrogen is not below the plane. Thus, the configuration is S.
In the third molecule, the groups attached were in clockwise direction. Thus, the configuration is R.
Thus, the configuration is R, S, R.
The correct answer is Option (B).
Note:
While writing the nomenclature of R and S, the groups must give priority first. The direction of higher to lower priority groups were in clockwise R, and in anticlockwise it is S. But the least priority atom or group should be below the plane, if it is not like that the configuration must be inverted.
Recently Updated Pages
Master Class 12 Business Studies: Engaging Questions & Answers for Success

Master Class 12 Economics: Engaging Questions & Answers for Success

Master Class 12 English: Engaging Questions & Answers for Success

Master Class 12 Maths: Engaging Questions & Answers for Success

Master Class 12 Social Science: Engaging Questions & Answers for Success

Master Class 12 Chemistry: Engaging Questions & Answers for Success

Trending doubts
What are the major means of transport Explain each class 12 social science CBSE

Which are the Top 10 Largest Countries of the World?

Draw a labelled sketch of the human eye class 12 physics CBSE

Explain sex determination in humans with line diag class 12 biology CBSE

The pH of the pancreatic juice is A 64 B 86 C 120 D class 12 biology CBSE

Explain sex determination in humans with the help of class 12 biology CBSE

