
What will be the product for the following reaction
${\text{Ph}} - {\text{C}} \equiv {\text{C}} - {\text{C}}{{\text{H}}_{\text{3}}}\mathop \to \limits^{{\text{H}}{{\text{g}}^{2 + }}/{{\text{H}}^{\text{ + }}}} {\text{A}}$
Answer
558.3k+ views
Hint: The alkene and alkyne work as nucleophile and attacks on acid forming a cation. The reagent ${{\text{H}}_{\text{2}}}{\text{S}}{{\text{O}}_{\text{4}}}{\text{/}}\,{\text{HgS}}{{\text{O}}_{\text{4}}}$ cause mercuration and demercuration. This reagent breaks the triple bond of alkyne and gets attached. The hydrolysis of the triple bond gives carbonyl as a product.
Complete Step by step answer: The IUPAC name of ${\text{Ph}} - {\text{C}} \equiv {\text{C}} - {\text{C}}{{\text{H}}_{\text{3}}}$ is $1 - $ propenyl benzene.
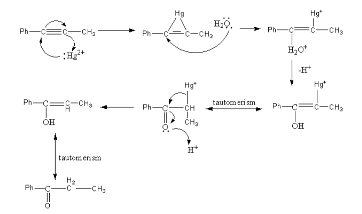
First the mercury attacks on the reactant $1 - $ propynyl benzene and form a cyclic structure. Then water attacks on this cyclic structure forming a mercury cation. Then by the removal of hydride alcohol forms.
The enol can be converted into keto form by keto-enol tautomerism. The oxygen atom of the ketone attacks on the acid and gets protonated and the diacation of mercury removes. The enol form again converts into keto form by keto-enol tautomerism.
The mechanism of the reaction of $1 - $ propenyl benzene with mercuric ion and acid is as follows:
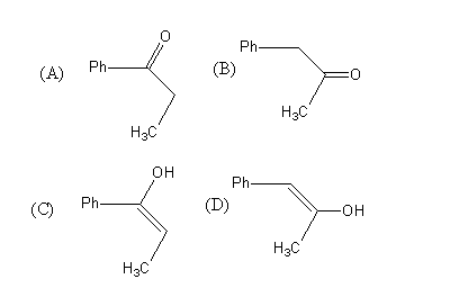
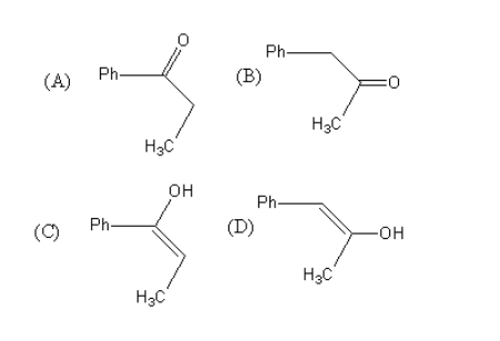
So, the product of the reaction of $1 - $ propenyl benzene with mercuric ion and acid is $1 - $ phenyl prop $ - 1 - $en$ - 1 - $ on (Option-C) which converts into propiophenone (option-A). So, the main product of the reaction is 1-propenyl benzene.
Therefore, option (A), is correct.
Note: In this reaction, mercury attaches with the reactant in between the reaction mechanism and then removes so, the reaction is known as oxymercuration demercuration. In the case of a symmetrical alkyne, water in the second step can attack from any side, so the ring can open from any side. But in the case of an asymmetrical alkyne, the water attacks from the more nucleophilic side. The Methyl group shows the +I effect and the phenyl ring shows the +M effect so, the carbon attached with the phenyl ring is more nucleophilic.
Complete Step by step answer: The IUPAC name of ${\text{Ph}} - {\text{C}} \equiv {\text{C}} - {\text{C}}{{\text{H}}_{\text{3}}}$ is $1 - $ propenyl benzene.
First the mercury attacks on the reactant $1 - $ propynyl benzene and form a cyclic structure. Then water attacks on this cyclic structure forming a mercury cation. Then by the removal of hydride alcohol forms.
The enol can be converted into keto form by keto-enol tautomerism. The oxygen atom of the ketone attacks on the acid and gets protonated and the diacation of mercury removes. The enol form again converts into keto form by keto-enol tautomerism.
The mechanism of the reaction of $1 - $ propenyl benzene with mercuric ion and acid is as follows:
So, the product of the reaction of $1 - $ propenyl benzene with mercuric ion and acid is $1 - $ phenyl prop $ - 1 - $en$ - 1 - $ on (Option-C) which converts into propiophenone (option-A). So, the main product of the reaction is 1-propenyl benzene.
Therefore, option (A), is correct.
Note: In this reaction, mercury attaches with the reactant in between the reaction mechanism and then removes so, the reaction is known as oxymercuration demercuration. In the case of a symmetrical alkyne, water in the second step can attack from any side, so the ring can open from any side. But in the case of an asymmetrical alkyne, the water attacks from the more nucleophilic side. The Methyl group shows the +I effect and the phenyl ring shows the +M effect so, the carbon attached with the phenyl ring is more nucleophilic.
Recently Updated Pages
A man running at a speed 5 ms is viewed in the side class 12 physics CBSE

State and explain Hardy Weinbergs Principle class 12 biology CBSE

Which of the following statements is wrong a Amnion class 12 biology CBSE

Two Planoconcave lenses 1 and 2 of glass of refractive class 12 physics CBSE

The compound 2 methyl 2 butene on reaction with NaIO4 class 12 chemistry CBSE

Bacterial cell wall is made up of A Cellulose B Hemicellulose class 12 biology CBSE

Trending doubts
What are the major means of transport Explain each class 12 social science CBSE

Which are the Top 10 Largest Countries of the World?

Draw a labelled sketch of the human eye class 12 physics CBSE

Explain sex determination in humans with line diag class 12 biology CBSE

Give 10 examples of unisexual and bisexual flowers

State the principle of an ac generator and explain class 12 physics CBSE

