
The pair that has similar shape is
A. \[B{F_3},Br{F_3}\]
B. \[{S_2}{F_2},{S_2}C{l_2}\]
C. \[{O_2}{F_2},{S_2}C{l_2}\]
D. \[{B_2}{H_6},{N_2}{H_4}\]
Answer
564.6k+ views
Hint: \[{S_2}{F_2}\] and \[{S_2}C{l_2}\] both have \[s{p^3}d\] hybridization and has the shape which is similar to \[{H_2}{O_2}\]. In the same way, \[{O_2}{F_2}\] has the structure similar to \[{H_2}{O_2}\].
Complete step by step answer:
\[B{F_3}\] have the \[s{p^2}\] hybridization but \[Br{F_3}\] (Bromine Trifluoride) have the \[s{p^3}d\] hybridization. So, \[B{F_3}\] is triangular (Trigonal planar) in shape having bond angle \[120^\circ \] but \[Br{F_3}\] is ‘T’ shaped or trigonal bipyramidal with a bond angle of \[86.2^\circ \].
\[{S_2}{F_2}\] (Disulphuric difluoride) is a halide of sulphur have the \[s{p^3}{d^{}}\] hybridization. Its shape is gauche (half-open book shape) which is similar to \[{H_2}{O_2}\] with bond angle of \[108.3^\circ .{S_2}C{l_2}\] is a polar molecule and has \[s{p^3}d\] hybridization. It has the shape of gauche.
\[{O_2}{F_2}\] has the structure similar to \[{H_2}{O_2}\]. It has the shape of a half-open book (gauche in shape) \[{S_2}C{l_2}\] also has the shape similar to \[{O_2}{F_2}\].
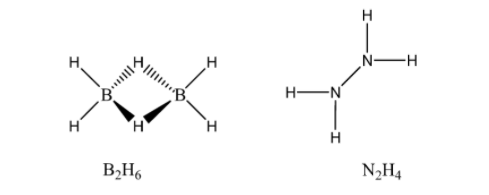
In (Diborane), Boron is \[s{p^3}\] hybridised, there are two terminals \[B - H\] bonds for each boron atom and there are only 12 bonding electrons available. The structure of Diborane molecule consists of 4 H atoms and that of two boron atoms coming on the same plane. In between these planes, there are said to be two dividing atoms of H. The two atoms of B left with that of each unpaired electron orbital and empty orbital forms the two bridging’s \[\left( {B-H-B} \right)\] bonds with that of the two 1s hydrogen atoms, is also called as the banana bond and on the other hand, \[{N_2}{H_4}\] (Nitrogen hydride or Hydrazine) is a strong base. Each subunit of \[{H_2}N - N\] is pyramidal and \[N - N\] bond distance is about \[1.4A^\circ \].
Therefore, the correct answer is option (B) and (C).
Note: Diborane is a chemical compound that consists of boron (B) and hydrogen (H) atoms and has a molecular formula \[{B_2}{H_6}\]. This substance is highly unstable at the room temperature and has a sweet odour. The compounds consisting of boron and hydrogen atoms are called boranes and diborane is one of the simplest boron hydrides.
Complete step by step answer:
\[B{F_3}\] have the \[s{p^2}\] hybridization but \[Br{F_3}\] (Bromine Trifluoride) have the \[s{p^3}d\] hybridization. So, \[B{F_3}\] is triangular (Trigonal planar) in shape having bond angle \[120^\circ \] but \[Br{F_3}\] is ‘T’ shaped or trigonal bipyramidal with a bond angle of \[86.2^\circ \].
\[{S_2}{F_2}\] (Disulphuric difluoride) is a halide of sulphur have the \[s{p^3}{d^{}}\] hybridization. Its shape is gauche (half-open book shape) which is similar to \[{H_2}{O_2}\] with bond angle of \[108.3^\circ .{S_2}C{l_2}\] is a polar molecule and has \[s{p^3}d\] hybridization. It has the shape of gauche.
\[{O_2}{F_2}\] has the structure similar to \[{H_2}{O_2}\]. It has the shape of a half-open book (gauche in shape) \[{S_2}C{l_2}\] also has the shape similar to \[{O_2}{F_2}\].
In (Diborane), Boron is \[s{p^3}\] hybridised, there are two terminals \[B - H\] bonds for each boron atom and there are only 12 bonding electrons available. The structure of Diborane molecule consists of 4 H atoms and that of two boron atoms coming on the same plane. In between these planes, there are said to be two dividing atoms of H. The two atoms of B left with that of each unpaired electron orbital and empty orbital forms the two bridging’s \[\left( {B-H-B} \right)\] bonds with that of the two 1s hydrogen atoms, is also called as the banana bond and on the other hand, \[{N_2}{H_4}\] (Nitrogen hydride or Hydrazine) is a strong base. Each subunit of \[{H_2}N - N\] is pyramidal and \[N - N\] bond distance is about \[1.4A^\circ \].
Therefore, the correct answer is option (B) and (C).
Note: Diborane is a chemical compound that consists of boron (B) and hydrogen (H) atoms and has a molecular formula \[{B_2}{H_6}\]. This substance is highly unstable at the room temperature and has a sweet odour. The compounds consisting of boron and hydrogen atoms are called boranes and diborane is one of the simplest boron hydrides.
Recently Updated Pages
Why are manures considered better than fertilizers class 11 biology CBSE

Find the coordinates of the midpoint of the line segment class 11 maths CBSE

Distinguish between static friction limiting friction class 11 physics CBSE

The Chairman of the constituent Assembly was A Jawaharlal class 11 social science CBSE

The first National Commission on Labour NCL submitted class 11 social science CBSE

Number of all subshell of n + l 7 is A 4 B 5 C 6 D class 11 chemistry CBSE

Trending doubts
1 Quintal is equal to a 110 kg b 10 kg c 100kg d 1000 class 11 physics CBSE

What is Environment class 11 chemistry CBSE

Bond order ofO2 O2+ O2 and O22 is in order A O2 langle class 11 chemistry CBSE

How many squares are there in a chess board A 1296 class 11 maths CBSE

Distinguish between verbal and nonverbal communica class 11 english CBSE

The equivalent weight of Mohrs salt FeSO4 NH42SO4 6H2O class 11 chemistry CBSE

