
The number of moles of $BaC{O_3}$, which contains $6$ mol of oxygen (atom), is:
Answer
512.7k+ views
Hint: $BaC{O_3}$ is the chemical formula of Barium carbonate which is an inorganic compound. It is poorly soluble in water and like other alkali metals, it is a white salt. $BaC{O_3}$ is mainly used to remove sulfate impurities from feedstock of the chlor-alkali process. It is also used in ceramic industries and also acts as a flux, a matting and crystallizing agent and combines with certain coloring oxides to produce colors which are not easily attainable.
Complete step by step answer:
1 mol of $BaC{O_3}$ contains 3 moles of oxygen. So we can find out the number of moles of $BaC{O_3}$ present in $6$ moles of oxygen just by dividing the number of moles of oxygen total number of oxygen moles present in one mole of $BaC{O_3}$.
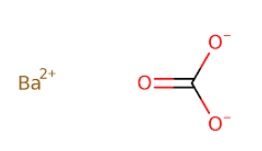
$1$ Mol of $BaC{O_3}$ contains $3$ moles of oxygen
Fig: Chemical structure of $BaC{O_3}$.
$\therefore 6$ moles of oxygen present in $1$ mol of $BaC{O_3}$$ = \dfrac{6}{3} = 2$.
Therefore, the number of moles of $BaC{O_3}$ is $2$.
Note:
The above formula can also be used in finding the relation between the number of moles and molar mass.
Number of moles$ = $mass$/$relative formula mass.
This can also be used in finding the molar mass if the mass and number of moles are known.
Complete step by step answer:
1 mol of $BaC{O_3}$ contains 3 moles of oxygen. So we can find out the number of moles of $BaC{O_3}$ present in $6$ moles of oxygen just by dividing the number of moles of oxygen total number of oxygen moles present in one mole of $BaC{O_3}$.
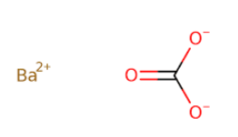
$1$ Mol of $BaC{O_3}$ contains $3$ moles of oxygen
Fig: Chemical structure of $BaC{O_3}$.
$\therefore 6$ moles of oxygen present in $1$ mol of $BaC{O_3}$$ = \dfrac{6}{3} = 2$.
Therefore, the number of moles of $BaC{O_3}$ is $2$.
Note:
The above formula can also be used in finding the relation between the number of moles and molar mass.
Number of moles$ = $mass$/$relative formula mass.
This can also be used in finding the molar mass if the mass and number of moles are known.
Recently Updated Pages
Why are manures considered better than fertilizers class 11 biology CBSE

Find the coordinates of the midpoint of the line segment class 11 maths CBSE

Distinguish between static friction limiting friction class 11 physics CBSE

The Chairman of the constituent Assembly was A Jawaharlal class 11 social science CBSE

The first National Commission on Labour NCL submitted class 11 social science CBSE

Number of all subshell of n + l 7 is A 4 B 5 C 6 D class 11 chemistry CBSE

Trending doubts
1 Quintal is equal to a 110 kg b 10 kg c 100kg d 1000 class 11 physics CBSE

Why is steel more elastic than rubber class 11 physics CBSE

What is boron A Nonmetal B Metal C Metalloid D All class 11 chemistry CBSE

Bond order ofO2 O2+ O2 and O22 is in order A O2 langle class 11 chemistry CBSE

Discuss the various forms of bacteria class 11 biology CBSE

What is the difference between biodegradable and nonbiodegradable class 11 biology CBSE

