
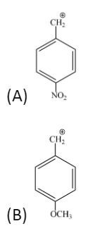
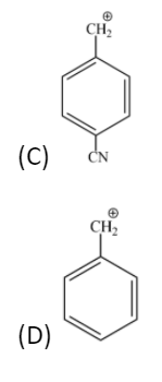
The most stable carbocation?
Answer
573.6k+ views
Hint: Substitution on the benzene ring can affect the placement of additional substituents on that ring during Electrophilic atomic substitution. The formation of products and its stability depends on the nature of electron-donating groups and electron-withdrawing groups.
Complete step by step solution:
When an electron releasing or an electron-withdrawing species is introduced to chain atoms, the corresponding negative or positive charge is relayed through the carbon chain by the atoms or groups cause’ permanent dipole to arise in the molecule is an inductive effect.
In an aromatic benzene ring, electron-donating groups increase the stability of the carbocation with resonance structures.
$-OC{{H}_{3}}$ The group is an electron-donating group, which increases the stability of carbocation by resonance. This electron-donating group can be recognized by lone pairs on the atom adjacent to the $\pi $ system.
The functional groups $-CN,-N{{O}_{2}}$ are electron-withdrawing groups. These groups can be recognized either by an atom adjacent to the $\pi $system having several bonds to more electronegative atoms, or having a formal positive charge or partial positive charge. These electron-withdrawing groups remove electron density from the benzene ring of the $\pi $system making it less nucleophilic.
Hence the most stable carbocation is option B.
Note: These substituent effects are caused mainly due to resonance and inductive effects. These effects are playing a key role in other reactions and properties like the stability of canonical forms, the acidity of the substituted benzoic acids, and the acidity of unsaturated organic compounds.
Complete step by step solution:
When an electron releasing or an electron-withdrawing species is introduced to chain atoms, the corresponding negative or positive charge is relayed through the carbon chain by the atoms or groups cause’ permanent dipole to arise in the molecule is an inductive effect.
In an aromatic benzene ring, electron-donating groups increase the stability of the carbocation with resonance structures.
$-OC{{H}_{3}}$ The group is an electron-donating group, which increases the stability of carbocation by resonance. This electron-donating group can be recognized by lone pairs on the atom adjacent to the $\pi $ system.
The functional groups $-CN,-N{{O}_{2}}$ are electron-withdrawing groups. These groups can be recognized either by an atom adjacent to the $\pi $system having several bonds to more electronegative atoms, or having a formal positive charge or partial positive charge. These electron-withdrawing groups remove electron density from the benzene ring of the $\pi $system making it less nucleophilic.
Hence the most stable carbocation is option B.
Note: These substituent effects are caused mainly due to resonance and inductive effects. These effects are playing a key role in other reactions and properties like the stability of canonical forms, the acidity of the substituted benzoic acids, and the acidity of unsaturated organic compounds.
Recently Updated Pages
Why are manures considered better than fertilizers class 11 biology CBSE

Find the coordinates of the midpoint of the line segment class 11 maths CBSE

Distinguish between static friction limiting friction class 11 physics CBSE

The Chairman of the constituent Assembly was A Jawaharlal class 11 social science CBSE

The first National Commission on Labour NCL submitted class 11 social science CBSE

Number of all subshell of n + l 7 is A 4 B 5 C 6 D class 11 chemistry CBSE

Trending doubts
Differentiate between an exothermic and an endothermic class 11 chemistry CBSE

10 examples of friction in our daily life

One Metric ton is equal to kg A 10000 B 1000 C 100 class 11 physics CBSE

Difference Between Prokaryotic Cells and Eukaryotic Cells

1 Quintal is equal to a 110 kg b 10 kg c 100kg d 1000 class 11 physics CBSE

State the laws of reflection of light

