
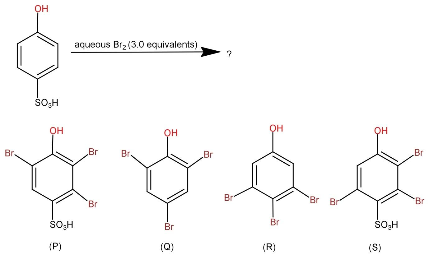
The major product (s) of the following reaction is (are):
Answer
567.9k+ views
Hint: The hydroxyl group (-OH) is ortho and para directing while the sulfonyl group ($ - S{O_3}H$) is a group deactivating group and is a good leaving group.
Complete step by step answer:
-First of all let us see the reactant and the nature of groups attached to it.
The given reactant in the question has 2 groups: a hydroxyl group (-OH) and sulfonyl group ($ - S{O_3}H$). We all should know that the hydroxyl group (-OH) is a ring activating group and is also ortho and para directing. But the sulfonyl group ($ - S{O_3}H$) is a ring deactivating group and it is a good leaving group.
-When the reactant reacts with aqueous bromine, there occurs electrophilic substitution reaction and the hydroxyl group (phenoxide ion) in the aqueous solution becomes extremely reactive.
-First the bromine reacts with the ring and bromine atoms get attached to both the ortho and para position. The para position is shared by a bromine atom and the sulfonyl group and the carbon at the meta position has a positive charge (electrophilic carbon). Next the sulfonyl group being a good leaving group leaves the para position where the bond gets transferred to the ring. Hence the final product formed is: 2,4,6-tribromophenol and it is a white ppt.
In short we can say that the sulfonyl group ($ - S{O_3}H$) being a good leaving group is easily replaced by bromine atoms.
-The reaction occurs in the following manner:
-Hence, we can say that the major product is 2,4,6-tribromophenol.
So, the correct answer is “Option Q”.
Note: A leaving group is basically a group or a molecule which leaves easily along with a pair of electrons from a heterolytic bond cleavage. They can be anions, cations or even neutral molecules. Basically the weak bases are the best leaving groups. For example: halide ions like $C{l^ - }$, $B{r^ - }$, ${I^ - }$, etc. The weaker the base, the better is the leaving group.
Complete step by step answer:
-First of all let us see the reactant and the nature of groups attached to it.
The given reactant in the question has 2 groups: a hydroxyl group (-OH) and sulfonyl group ($ - S{O_3}H$). We all should know that the hydroxyl group (-OH) is a ring activating group and is also ortho and para directing. But the sulfonyl group ($ - S{O_3}H$) is a ring deactivating group and it is a good leaving group.
-When the reactant reacts with aqueous bromine, there occurs electrophilic substitution reaction and the hydroxyl group (phenoxide ion) in the aqueous solution becomes extremely reactive.
-First the bromine reacts with the ring and bromine atoms get attached to both the ortho and para position. The para position is shared by a bromine atom and the sulfonyl group and the carbon at the meta position has a positive charge (electrophilic carbon). Next the sulfonyl group being a good leaving group leaves the para position where the bond gets transferred to the ring. Hence the final product formed is: 2,4,6-tribromophenol and it is a white ppt.
In short we can say that the sulfonyl group ($ - S{O_3}H$) being a good leaving group is easily replaced by bromine atoms.
-The reaction occurs in the following manner:
-Hence, we can say that the major product is 2,4,6-tribromophenol.
So, the correct answer is “Option Q”.
Note: A leaving group is basically a group or a molecule which leaves easily along with a pair of electrons from a heterolytic bond cleavage. They can be anions, cations or even neutral molecules. Basically the weak bases are the best leaving groups. For example: halide ions like $C{l^ - }$, $B{r^ - }$, ${I^ - }$, etc. The weaker the base, the better is the leaving group.
Recently Updated Pages
A man running at a speed 5 ms is viewed in the side class 12 physics CBSE

State and explain Hardy Weinbergs Principle class 12 biology CBSE

Which of the following statements is wrong a Amnion class 12 biology CBSE

Two Planoconcave lenses 1 and 2 of glass of refractive class 12 physics CBSE

The compound 2 methyl 2 butene on reaction with NaIO4 class 12 chemistry CBSE

Bacterial cell wall is made up of A Cellulose B Hemicellulose class 12 biology CBSE

Trending doubts
Explain sex determination in humans with line diag class 12 biology CBSE

The pH of the pancreatic juice is A 64 B 86 C 120 D class 12 biology CBSE

Which prominent US inventor was known as the Wizard class 12 social science CBSE

Which state in India is known as the Granary of India class 12 social science CBSE

Draw a ray diagram of compound microscope when the class 12 physics CBSE

When was the first election held in India a 194748 class 12 sst CBSE

