
The IUPAC name of $C{{H}_{3}}COO{{C}_{2}}{{H}_{5}}$ will be:
(A) Ethyl acetate
(B) Ethyl ethanoate
(C) Methyl propanoate
(D) None of the above
Answer
551.7k+ views
Hint: The abbreviation IUPAC stands for, International Union of Pure and Applied Chemistry.
- The IUPAC name of a compound is a name accepted and used worldwide. The name of the above compound has the name of the group which is attached to the oxygen as the prefix.
Complete Solution :
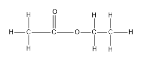
In the question a compound is given and we have to predict its IUPAC name from the given options. The IUPAC has set many rules for the nomenclature for the compounds, which consists of many groups. Now let’s draw the structure of the given compound.
So now let’s analyze which functional group is present in the molecule. The molecule contains ester functional group i.e. R-CO-O-R’. Hence the molecule is an ester and they can be said as the derivatives of carboxylic acid, since esters are formed by replacing the H from –COOH with an alkyl group.
- Now let’s move on to the naming of ester.
- The ester naming consists of two parts- the acid part and the alkyl part.
- Also, the name of the above compound consists of two parts. The first part is the name of the alkyl group which is attached to the oxygen atom. The alkyl chain attached to the oxygen is called ethyl since it has two carbons in the chain. The second word is derived from the carboxylic acid (acetic acid) with the -ic suffix changed to –ate .Acetic acid is also called as ethanoic acid. Thus, the IUPAC name of $C{{H}_{3}}COO{{C}_{2}}{{H}_{5}}$ is ethyl acetate.
- Hence the IUPAC name of the above compound is called ethyl acetate.
- And this molecule has a systematic IUPAC name which is ethyl ethanoate.
So, the correct answer is “Option A”.
Note: There is a great chance of getting confused between the preferred IUPAC name and systematic IUPAC name of the compound. The systematic name is the common name and for the compound given above it is ethyl ethanoate and the most commonly used ester whereas its preferred IUPAC name is ethyl acetate. Preferred IUPAC name refers to the name that is preferred by the IUPAC among the other names of the compound and which is set according to certain rules In general, the esters name is named as alkyl alkanoate.
- The IUPAC name of a compound is a name accepted and used worldwide. The name of the above compound has the name of the group which is attached to the oxygen as the prefix.
Complete Solution :
In the question a compound is given and we have to predict its IUPAC name from the given options. The IUPAC has set many rules for the nomenclature for the compounds, which consists of many groups. Now let’s draw the structure of the given compound.
So now let’s analyze which functional group is present in the molecule. The molecule contains ester functional group i.e. R-CO-O-R’. Hence the molecule is an ester and they can be said as the derivatives of carboxylic acid, since esters are formed by replacing the H from –COOH with an alkyl group.
- Now let’s move on to the naming of ester.
- The ester naming consists of two parts- the acid part and the alkyl part.
- Also, the name of the above compound consists of two parts. The first part is the name of the alkyl group which is attached to the oxygen atom. The alkyl chain attached to the oxygen is called ethyl since it has two carbons in the chain. The second word is derived from the carboxylic acid (acetic acid) with the -ic suffix changed to –ate .Acetic acid is also called as ethanoic acid. Thus, the IUPAC name of $C{{H}_{3}}COO{{C}_{2}}{{H}_{5}}$ is ethyl acetate.
- Hence the IUPAC name of the above compound is called ethyl acetate.
- And this molecule has a systematic IUPAC name which is ethyl ethanoate.
So, the correct answer is “Option A”.
Note: There is a great chance of getting confused between the preferred IUPAC name and systematic IUPAC name of the compound. The systematic name is the common name and for the compound given above it is ethyl ethanoate and the most commonly used ester whereas its preferred IUPAC name is ethyl acetate. Preferred IUPAC name refers to the name that is preferred by the IUPAC among the other names of the compound and which is set according to certain rules In general, the esters name is named as alkyl alkanoate.
Recently Updated Pages
A man running at a speed 5 ms is viewed in the side class 12 physics CBSE

The number of solutions in x in 02pi for which sqrt class 12 maths CBSE

State and explain Hardy Weinbergs Principle class 12 biology CBSE

Write any two methods of preparation of phenol Give class 12 chemistry CBSE

Which of the following statements is wrong a Amnion class 12 biology CBSE

Differentiate between action potential and resting class 12 biology CBSE

Trending doubts
What are the major means of transport Explain each class 12 social science CBSE

Which are the Top 10 Largest Countries of the World?

Draw a labelled sketch of the human eye class 12 physics CBSE

Explain sex determination in humans with line diag class 12 biology CBSE

Explain sex determination in humans with the help of class 12 biology CBSE

Differentiate between homogeneous and heterogeneous class 12 chemistry CBSE

